Cylindrical Coordinate System - 1 | 17. Cylindrical Coordinate System | Solid Mechanics
Students

Academic Programs

AI-powered learning for grades 8-12, aligned with major curricula

Professional

Professional Courses

Industry-relevant training in Business, Technology, and Design

Games

Interactive Games

Fun games to boost memory, math, typing, and English skills

Cylindrical Coordinate System

1 - Cylindrical Coordinate System

Enroll to start learning

You’ve not yet enrolled in this course. Please enroll for free to listen to audio lessons, classroom podcasts and take practice test.

Practice

Interactive Audio Lesson

Listen to a student-teacher conversation explaining the topic in a relatable way.

Introduction to Cylindrical Coordinate System

🔒 Unlock Audio Lesson

Sign up and enroll to listen to this audio lesson

0:00
--:--
Teacher
Teacher Instructor

Welcome everyone! Today we're diving into the cylindrical coordinate system. Can anyone share what they think a cylindrical coordinate system is?

Student 1
Student 1

I think it's a way to represent points in a three-dimensional space, right?

Teacher
Teacher Instructor

Exactly! It helps us describe points using three coordinates: radial distance `r`, angle `θ`, and height `z`. This system is particularly useful for objects that are cylindrical in shape. Can someone give me an example of such an object?

Student 2
Student 2

Like a pipe or a soda can?

Teacher
Teacher Instructor

Great examples! Now, let’s talk about the basis vectors in cylindrical coordinates. They change their direction as the angle `θ` changes, unlike Cartesian coordinates. Can anyone elucidate why this is important?

Student 3
Student 3

Changing direction means we have to carefully account for our analyses based on angles!

Teacher
Teacher Instructor

Exactly! Always remember: `e_r` and `e_θ` change with `θ`, while `e_z` remains constant. This impacts how we calculate dynamics in cylindrical bodies.

Student 4
Student 4

Does this mean we have to break down forces differently too?

Teacher
Teacher Instructor

Yes! We'll look at forces on the cylindrical elements in our next session. To sum up, cylindrical coordinates are vital for analyzing cylindrical shapes, and understanding basis vectors is key.

Cylindrical Elements and Forces

🔒 Unlock Audio Lesson

Sign up and enroll to listen to this audio lesson

0:00
--:--
Teacher
Teacher Instructor

Now that we understand the basics, let’s shift our focus to cylindrical elements. Can anyone describe what we mean by cylindrical elements?

Student 1
Student 1

They are sections of a cylinder we study to analyze forces acting on them.

Teacher
Teacher Instructor

Correct! Each cylindrical element has face normals aligned with our basis vectors: `e_r`, `e_θ`, and `e_z`. Why do you think it's important to identify these face normals?

Student 2
Student 2

Because we need to know the direction of the forces acting on each face to calculate the total force!

Teacher
Teacher Instructor

Exactly! When summing forces from each face, we consider the respective traction components. Can you recall what the traction vector on the +z plane would look like?

Student 3
Student 3

It’s expressed in terms of the stress components like σ_zz and τ terms!

Teacher
Teacher Instructor

Perfect! And you'll integrate these over the relevant area to find the total force. Always be careful with how we simplify stress components as they vary across the cylindrical element. Let’s wrap this up with a summary of today's discussion.

Teacher
Teacher Instructor

In conclusion, we discussed cylindrical elements and their forces, focusing on how basis vectors play a role in our calculations. The understanding of force components is crucial!

Introduction & Overview

Read summaries of the section's main ideas at different levels of detail.

Quick Overview

This section introduces the cylindrical coordinate system, explaining its significance in analyzing cylindrical bodies and deriving linear momentum balance laws.

Standard

The section provides a detailed overview of the cylindrical coordinate system, highlighting its application in studying cylindrical shapes. It covers the definition of basis vectors, the characteristics of cylindrical elements, and the formulation of linear momentum balance, aimed at providing a comprehensive understanding of the system's principles.

Detailed

Cylindrical Coordinate System

The cylindrical coordinate system establishes a framework for studying objects with cylindrical geometry, such as pipes and tubes. It uses a triplet of coordinates (r, θ, z) to represent any point in space, where r is the radial distance from the central axis, θ is the angular position around the axis, and z is the height along the axis. Understanding this system is crucial for deriving balance laws in mechanics, specifically for linear momentum.

Basis Vectors

In cylindrical coordinates, the basis vectors are represented as (e_r, e_θ, e_z). Unlike Cartesian coordinates where the basis vectors are static, the basis vectors in cylindrical coordinates vary depending on the angle θ, while e_z remains constant. This characteristic is vital for analyzing various dynamics in cylindrical systems, and it requires careful consideration when deriving related equations.

Cylindrical Elements

To analyze forces in this system, cylindrical elements are employed with face normals aligned with the respective basis vectors. This approach mirrors how forces are evaluated in Cartesian coordinates but adapted to the rotating nature of cylindrical geometry. The analysis includes integrating force components across the different faces of the cylindrical elements and applying principles such as Taylor's series for approximations of varying stresses.

In conclusion, mastering the cylindrical coordinate system and its basis vectors is foundational for understanding complex mechanical systems, helping engineers and scientists analyze and predict the behavior of materials under various forces efficiently.

Youtube Videos

Module 1.4.2 Cylindrical Coordinate System
Module 1.4.2 Cylindrical Coordinate System
Writing the stress components in cylindrical co-ordinate system
Writing the stress components in cylindrical co-ordinate system
Cylindrical Coordinate System: line, Surface, Volume, Gradient, Divergence & Curl Calculation
Cylindrical Coordinate System: line, Surface, Volume, Gradient, Divergence & Curl Calculation
LECTURE#23 (Finite extension-torsion-inflation in cylindrical tubes)
LECTURE#23 (Finite extension-torsion-inflation in cylindrical tubes)
cylindrical coordinate system
cylindrical coordinate system
Physics - Advanced E&M: Ch 1 Math Concepts (25 of 55) Cylindrical Coordinates:Point and Unit Vectors
Physics - Advanced E&M: Ch 1 Math Concepts (25 of 55) Cylindrical Coordinates:Point and Unit Vectors
Rectangular, cylindrical, and spherical coordinates (introduction & conversion)
Rectangular, cylindrical, and spherical coordinates (introduction & conversion)
Cylindrical Coordinate System ★ video in HINDI ★ EduPoint
Cylindrical Coordinate System ★ video in HINDI ★ EduPoint
CYLINDRICAL COORDINATE SYSTEM(DIFFERENTIAL LENGTH,SURFACE & VOLUME)
CYLINDRICAL COORDINATE SYSTEM(DIFFERENTIAL LENGTH,SURFACE & VOLUME)
Electro Magnetics - Cylindrical Coordinate System
Electro Magnetics - Cylindrical Coordinate System

Audio Book

Dive deep into the subject with an immersive audiobook experience.

Introduction to the Cylindrical Coordinate System

Chapter 1 of 3

🔒 Unlock Audio Chapter

Sign up and enroll to access the full audio experience

0:00
--:--

Chapter Content

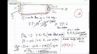
Cylindrical coordinate system turns out to be very handy in studying deformation of bodies having cylindrical shapes as we will see later. It is therefore of importance to derive balance laws in cylindrical coordinate system. Figure 1a shows a generalized cylinder whose radius may change over the axis of the cylinder. The axis of the cylinder coincides with z axis. Any general point of the cylinder will have coordinates (r,θ,z). The position vector of this point is re + ze.

Detailed Explanation

The cylindrical coordinate system is a three-dimensional coordinate system that is particularly useful for analyzing problems involving cylindrical objects. In this system, any point in space is defined by three coordinates: r (the radial distance from the z-axis), θ (the angular position around the z-axis), and z (the height along the z-axis). This is especially advantageous for bodies that have a cylindrical shape, such as pipes or tubes, as it simplifies the mathematics involved. For example, the position vector helps in visualizing where any point is located within that cylindrical space.

Examples & Analogies

Imagine a soda can. The height of the can corresponds to the z-coordinate, the distance from the center of the can corresponds to the r-coordinate, and the angle around the can where you place a dot corresponds to the θ-coordinate. This analogy can help visualize how we can locate any point in the cylindrical shape of the soda can.

Basis Vectors in Cylindrical Coordinates

Chapter 2 of 3

🔒 Unlock Audio Chapter

Sign up and enroll to access the full audio experience

0:00
--:--

Chapter Content

The basis vectors for a cylindrical coordinate system are (e_r, e_θ, e_z) whereas in the Cartesian coordinate system, the basis vectors are (e_1, e_2, e_3). Although both sets of basis vectors are orthonormal, there is a big difference in their properties: the basis vectors of Cartesian coordinate system are fixed in direction and do not change from one point to the other but in cylindrical coordinate system, two of the basis vectors (e_r, e_θ) change when θ coordinate of a point changes.

Detailed Explanation

In cylindrical coordinates, the basis vectors represent the directions for the coordinates. The vector e_r points radially outward from the center axis, e_θ points tangentially around the axis (increasing θ), and e_z points up and down along the height of the cylinder. Unlike the Cartesian system, where the direction of basis vectors remains the same at any point, in cylindrical coordinates, the radial and angular vectors change their direction as you move around the z-axis. This flexibility helps accommodate the curvature of cylindrical shapes.

Examples & Analogies

Think of a clock face. The hour hand (like e_r) points outwards from the center to the hour, changing direction as the time changes. The minute hand (like e_θ) moves around the center, altering its angle. The vertical position (like e_z) remains fixed as time passes, just like the height of the clock remains constant.

Cylindrical Element Representation

Chapter 3 of 3

🔒 Unlock Audio Chapter

Sign up and enroll to access the full audio experience

0:00
--:--

Chapter Content

In cylindrical coordinate systems similarly, we need to analyze cylindrical elements with their face normals parallel to e_r, e_θ, and e_z. A cylindrical element for the generalized cylinder is shown in Figure 3.

Detailed Explanation

To effectively analyze forces and other physical quantities in a cylindrical coordinate system, we use cylindrical elements. These are small cylindrical sections whose surface normals align with the basis vectors. Each face of the cylindrical element corresponds to one of the three basis directions (radial, angular, and vertical). By breaking down the forces across these faces, it becomes easier to compute the resulting effects such as stress and strain on the body.

Examples & Analogies

Consider a water bottle. If you imagine slicing a small section from the bottle lengthwise, you create a cylindrical element. Each side of this slice represents sections where forces might act differently due to internal pressure or external forces, allowing you to study the forces within that miniature section of the bottle.

Key Concepts

  • Cylindrical Coordinates: A system for representing three-dimensional points in terms of radial distance, angle, and height.

  • Basis Vectors: Change with angular position in cylindrical coordinates and are essential in force analysis.

  • Cylindrical Elements: Small segments of cylindrical bodies used to simplify force calculations.

Examples & Applications

A drink can be modeled as a cylinder, using cylindrical coordinates to analyze the pressure exerted at different heights.

In structural engineering, the stress distribution within a cylindrical column can be analyzed using this coordinate system.

Memory Aids

Interactive tools to help you remember key concepts

🎵

Rhymes

In a cylinder tall and round, r, θ, z are easily found.

📖

Stories

Imagine a soda can rolling down a hill, representing how cylindrical coordinates help in analyzing its motion, considering the radius, height, and angle of incline.

🧠

Memory Tools

Remember 'RAT' for cylindrical coordinates: Radial, Angular, Tall (for z).

🎯

Acronyms

For basis vectors, think of 'RED' - Radial, e_θ, Directional (for e_z).

Flash Cards

Glossary

Cylindrical Coordinates

A three-dimensional coordinate system that uses (r, θ, z) to define a point, where r is the radial distance, θ is the angular position, and z is the height.

Basis Vectors

Vectors that represent the direction of the axes in a coordinate system; in cylindrical coordinates, they are e_r, e_θ, and e_z.

Cylindrical Elements

Infinitesimally small sections of a cylindrical body used to analyze forces and motion within a cylindrical coordinate system.

Traction Vector

A vector representation of internal forces acting on surfaces within a body, influenced by stress components.

Linear Momentum Balance

A principle that states the rate of change of momentum of a body is equal to the sum of the forces acting on it.

Reference links

Supplementary resources to enhance your learning experience.