Traffic Signal Design-II - 42 | 21. Traffic Signal Design-II | Transportation Engineering - Vol 2
Students

Academic Programs

AI-powered learning for grades 8-12, aligned with major curricula

Professional

Professional Courses

Industry-relevant training in Business, Technology, and Design

Games

Interactive Games

Fun games to boost memory, math, typing, and English skills

Traffic Signal Design-II

42 - Traffic Signal Design-II

Enroll to start learning

You’ve not yet enrolled in this course. Please enroll for free to listen to audio lessons, classroom podcasts and take practice test.

Practice

Interactive Audio Lesson

Listen to a student-teacher conversation explaining the topic in a relatable way.

Introduction to Green Splitting

🔒 Unlock Audio Lesson

Sign up and enroll to listen to this audio lesson

0:00
--:--
Teacher
Teacher Instructor

Today, we will learn about green splitting. Who can tell me what green splitting means?

Student 1
Student 1

I think it refers to how we divide the green light time among traffic phases.

Teacher
Teacher Instructor

Exactly! Green splitting involves distributing effective green time based on traffic volumes. Recall our formula: **g = (Vi/C)*T**. Can someone break down this formula?

Student 2
Student 2

Sure! **Vi** is the critical lane volume, **C** is the total cycle length, and **T** is our effective green time.

Teacher
Teacher Instructor

Great job! Now, let’s apply this with some numbers to solidify our understanding.

Calculating Effective Green Time

🔒 Unlock Audio Lesson

Sign up and enroll to listen to this audio lesson

0:00
--:--
Teacher
Teacher Instructor

Moving on, how do we calculate the effective green time? What do we need to consider?

Student 3
Student 3

We should account for lost time and the amber phase, right?

Teacher
Teacher Instructor

Exactly! So, our formula for effective green time is **t = C - (total lost time)**. If our total cycle time is 120 seconds with a total lost time of 5 seconds, what will our effective green time be?

Student 4
Student 4

That would be 115 seconds!

Teacher
Teacher Instructor

Perfect! Remember, this effective green time is crucial for the next calculations. Let’s calculate the actual green time next.

Pedestrian Crossing Design

🔒 Unlock Audio Lesson

Sign up and enroll to listen to this audio lesson

0:00
--:--
Teacher
Teacher Instructor

Now, let’s discuss pedestrian crossings. What factors do we need for determining pedestrian green time?

Student 1
Student 1

We need to consider the crossing distance and the walking speed of pedestrians.

Teacher
Teacher Instructor

Correct! The formula for pedestrian green time is **Gp = t + (dx/u)**, where **dx** is the distance and **u** is the speed. If **dx** is 18 meters, what would the pedestrian green time be at a walking speed of 1.2 m/s?

Student 2
Student 2

We will first calculate the time: 18/1.2 = 15 seconds. And plus the startup lost time.

Teacher
Teacher Instructor

Exactly! Pedestrian safety time needs careful calculation. Always keep that in mind!

Evaluating Signal Performance

🔒 Unlock Audio Lesson

Sign up and enroll to listen to this audio lesson

0:00
--:--
Teacher
Teacher Instructor

Let’s wrap up by discussing performance measures. Why do you think delay is a significant factor in evaluating traffic signals?

Student 3
Student 3

It directly affects driver experience and the overall traffic flow.

Teacher
Teacher Instructor

Absolutely! Delay, queuing, and stops are all informed by our choices in signal design. What is Webster’s delay model?

Student 4
Student 4

It models threshold delay based on vehicle arrivals and effective green time!

Teacher
Teacher Instructor

Well said! It’s essential to understand these measures as they influence the effectiveness of our traffic signal design.

Introduction & Overview

Read summaries of the section's main ideas at different levels of detail.

Quick Overview

This section delves into the advanced aspects of traffic signal design, focusing on green time allocation, pedestrian crossing considerations, and performance evaluation metrics.

Standard

In this section, we explore the partitioning of green time among different traffic phases, emphasizing calculations for effective green time and pedestrian needs. Additionally, we discuss key performance measures like delay and queuing, which are essential for evaluating signal efficiency.

Detailed

Detailed Summary of Traffic Signal Design-II

In this section, we build on the fundamental concepts introduced previously regarding traffic signal operation by examining traffic signal design in depth.

42.1 Overview

This section emphasizes the need for efficient use of cycle time in traffic signals, investigating how this time is proportionally split across phases. The significance of understanding this allocation lies in optimizing traffic flow and minimizing delays.

42.2 Green Splitting

Green splitting, or the apportioning of effective green time among various signal phases, is discussed here. The section introduces key formulas to calculate effective and actual green time considering parameters like critical lane volumes and lost time during transitions, ensuring traffic signals work optimally according to the flow of vehicles.

42.3 Pedestrian Crossing Requirements

The design consideration of pedestrian crossings is crucial, and this section outlines methods to either integrate pedestrian timings within the existing phases or create dedicated pedestrian phases to ensure safety. Critical pedestrian timings based on walking speeds and crossing distances are provided via specific calculations.

42.4 Performance Measures

To evaluate signal effectiveness, parameters like delay, queuing, and stops are highlighted. This part includes definitions and equations to model vehicle delays at the intersection, emphasizing the need for performance measures such as Webster’s delay model for assessing traffic signals.

42.5 Summary

The section concludes with a recap of green time allocation strategies and the importance of pedestrian safety in traffic signal design, reinforcing the critical role that performance measures play in optimizing intersection effectiveness.

Youtube Videos

Numerical of Webster Method - Traffic Engineering - Transportation Engineering - I
Numerical of Webster Method - Traffic Engineering - Transportation Engineering - I
#traffic, #signals, #trafficsignals, Design of Traffic signals, green time, amber time and red time
#traffic, #signals, #trafficsignals, Design of Traffic signals, green time, amber time and red time
Design Of Traffic Signals | Transportation Engineering | Just GATE Civil |  Shubham Gupta
Design Of Traffic Signals | Transportation Engineering | Just GATE Civil | Shubham Gupta
Pedestrian Signal design method || Traffic Signal Design|| Transportation Engineering-II
Pedestrian Signal design method || Traffic Signal Design|| Transportation Engineering-II
Four Way Traffic Light System, Traffic Light Controller Project #science #technology
Four Way Traffic Light System, Traffic Light Controller Project #science #technology
Lecture 08 Traffic Signal Design
Lecture 08 Traffic Signal Design
Traffic Signal Design
Traffic Signal Design
Traffic Signal Design | Transportation Engineering | Civil Engineering | GATE & ESE 2024 | BYJU'S
Traffic Signal Design | Transportation Engineering | Civil Engineering | GATE & ESE 2024 | BYJU'S
Sample Question and Numerical with Solution: Transportation Engineering II
Sample Question and Numerical with Solution: Transportation Engineering II
Road & Safety Sign | Traffic Symbols | Traffic Sign | Road Traffic Sign | Road Sign | Safety Signs
Road & Safety Sign | Traffic Symbols | Traffic Sign | Road Traffic Sign | Road Sign | Safety Signs

Audio Book

Dive deep into the subject with an immersive audiobook experience.

Overview of Traffic Signal Design

Chapter 1 of 8

🔒 Unlock Audio Chapter

Sign up and enroll to access the full audio experience

0:00
--:--

Chapter Content

In the previous chapter, a simple design of cycle time was discussed. Here we will discuss how the cycle time is divided in a phase. The performance evaluation of a signal is also discussed.

Detailed Explanation

In this section, we’ve introduced the important concept of traffic signal design, particularly focusing on how the total time of a traffic signal cycle is divided into different phases. Each phase represents a different set of traffic flows—like vehicles going in different directions. Moreover, we will evaluate how effective a signal is in managing traffic, which is crucial for ensuring smooth traffic flow.

Examples & Analogies

Think of a traffic signal as a concert organizer who decides how much time each band gets to play based on how many people want to hear them. Just like the organizer wants to keep the audience engaged, the traffic signal aims to keep traffic flowing efficiently.

Green Splitting: Apportioning Green Time

Chapter 2 of 8

🔒 Unlock Audio Chapter

Sign up and enroll to access the full audio experience

0:00
--:--

Chapter Content

This is also called apportioning of green time. Some time will be lost as the start-up lost time and clearance time. Thus green splitting is the proportioning of effective green time in the signal phase.

Detailed Explanation

Green splitting involves dividing up the green light time among various traffic phases based on the traffic volume that each phase experiences. It's important to account for delays that happen due to the time taken to start moving after a red light (start-up lost time) and the time needed for vehicles to clear the intersection after the signal turns red (clearance time).

Examples & Analogies

Imagine you're sharing a pizza with friends, where each person can choose how much they want based on their hunger. If one friend is very hungry (like a heavy traffic volume), they will get a bigger slice (longer green light), while someone who isn’t as hungry will get a smaller piece.

Calculating Actual Green Time

Chapter 3 of 8

🔒 Unlock Audio Chapter

Sign up and enroll to access the full audio experience

0:00
--:--

Chapter Content

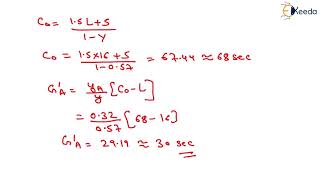
The actual green time can be now found out as, G = g_i + y_i - L_i.

Detailed Explanation

Here, we learn how to calculate the 'actual green time' for each phase. This takes into account the effective green time (which we calculated earlier), the amber light time, and any lost time for that phase. The equation shows that the effective green time is adjusted by adding the time lost in transitions and subtracting any start-up delay.

Examples & Analogies

Consider a school bell that rings to signal students to enter the classroom. If the bell rings for 2 minutes (green time), but students take an extra 1 minute to walk to their class after the bell and 30 seconds for them to settle down, we need to calculate the effective time they can actually start class after accounting for these delays.

Understanding Pedestrian Crossings

Chapter 4 of 8

🔒 Unlock Audio Chapter

Sign up and enroll to access the full audio experience

0:00
--:--

Chapter Content

There are two ways pedestrian crossing requirements have to be taken care of, i.e., either by proper phase design or providing an exclusive pedestrian phase.

Detailed Explanation

This section discusses how to ensure pedestrian safety when designing traffic signals. There are two approaches: one is to design phase timing that allows pedestrians to cross while vehicles are stopped; the other is to allocate an entirely separate phase just for pedestrians to cross safely.

Examples & Analogies

When a school dismisses students, there are two ways to manage their departure: either allow them to leave while teachers guide them across the road (like in a shared timing phase) or have a specific bell that allows only students to exit (like a dedicated pedestrian phase).

Evaluating Signal Performance

Chapter 5 of 8

🔒 Unlock Audio Chapter

Sign up and enroll to access the full audio experience

0:00
--:--

Chapter Content

Delay is a measure that most directly relates the driver’s experience.

Detailed Explanation

Here, we focus on how traffic signal effectiveness is evaluated. Key performance measures include the delay experienced by drivers, which reflects how well the signal is managing traffic. The section also introduces different types of delays, including stopped delay and approach delay, which help us understand how long vehicles are impeded at the signal.

Examples & Analogies

Think of waiting in a checkout line at a grocery store. The time you spend waiting at the register before getting served is similar to traffic delay—it's an indication of how efficiently the store (or traffic signal) is operating.

Delay Modeling and Calculation

Chapter 6 of 8

🔒 Unlock Audio Chapter

Sign up and enroll to access the full audio experience

0:00
--:--

Chapter Content

Most fundamental of the delay models is Webster’s delay model.

Detailed Explanation

This part introduces Webster’s delay model, which is a method of predicting delays at a traffic signal. It uses traffic flow rates and signal timings to compute the average delay for vehicles. It's a valuable tool because it helps traffic engineers optimize signal timings to improve flow.

Examples & Analogies

Imagine planning a road trip and wanting to avoid traffic jams. You’d look for the best routes and plan your stop times to minimize delays, similar to how engineers utilize delay models to enhance traffic signal efficiency.

Application of Delay Measurement in Traffic Systems

Chapter 7 of 8

🔒 Unlock Audio Chapter

Sign up and enroll to access the full audio experience

0:00
--:--

Chapter Content

Delay is the most frequently used parameter of effectiveness for intersections.

Detailed Explanation

This section emphasizes that delay is not only a single measure but a crucial figure of merit for evaluating traffic signals at intersections. It notes that studying delay helps inform improvements and adaptations necessary for better traffic flow, aiming to reduce congestion and enhance commuter experience.

Examples & Analogies

Just like hospitals measure waiting time for patients to gauge how effectively they manage care, traffic engineers use delay metrics to assess how well a road network manages its traffic.

Summary of Traffic Signal Design Principles

Chapter 8 of 8

🔒 Unlock Audio Chapter

Sign up and enroll to access the full audio experience

0:00
--:--

Chapter Content

Green splitting is done by proportioning the green time among various phases according to the critical volume of the phase.

Detailed Explanation

In summary, effective traffic signal design revolves around how well the green time is distributed across multiple phases based on traffic needs. Additionally, accommodating pedestrians safely is critical, alongside assessing the efficiency of these signals through delay measures. This holistic approach is pivotal in modern traffic engineering.

Examples & Analogies

Lastly, think of preparing a meal for guests. You must consider the needs of all your guests when portioning out food (similar to green splitting), ensure that everyone can access the dining table easily (like ensuring safe pedestrian crossings), and gauge how happy everyone is with their meal experience (evaluating performance).

Key Concepts

  • Green Splitting: The process of allocating green time based on lane volume.

  • Effective Green Time: The calculated green time available for vehicles, considering delays.

  • Pedestrian Safety: The importance of considering pedestrian needs in signal design.

  • Performance Evaluation: Metrics like delay and queue length that assess the efficiency of traffic signals.

Examples & Applications

An intersection with two phases sees a total cycle time of 120 seconds; calculating green time allocated involves using critical lane volumes to ensure cars flow smoothly during peak hours.

The calculation for how long a pedestrian needs to cross requires the distance divided by the walking speed, plus some extra time for starting.

Memory Aids

Interactive tools to help you remember key concepts

🎵

Rhymes

For green and safe to cross the street, time's key to avoid defeat.

📖

Stories

Imagine a busy intersection where cars and pedestrians dance around. The traffic signals help them take turns like polite dancers in a crowded room.

🧠

Memory Tools

Remember 'GLAM' - Green Light Allocates Minutes, which outlines the need for effective green time in signal design.

🎯

Acronyms

GATE - Green Appropriately to Everyone, symbolizing how timings should serve all users at crosswalks.

Flash Cards

Glossary

Green Splitting

The allocation of effective green time among various signal phases based on traffic volume.

Effective Green Time

The actual time available for vehicles to move during the green phase minus startup and clearance time.

Pedestrian Green Time

The calculated time allocated for pedestrians to safely cross the street based on their crossing distance and speed.

Delay

The measure of time a vehicle or pedestrian spends waiting at a traffic signal compared to their desired travel time.

Webster's Delay Model

A model to estimate delay at traffic signals based on arrival rates and signal timings.

Reference links

Supplementary resources to enhance your learning experience.