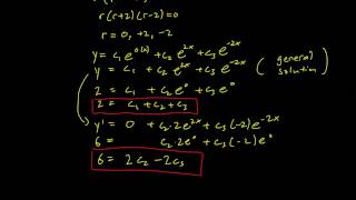
Example 1: Real and Distinct Roots - 3.7.1 | 3. Second-Order Homogeneous Equations with Constant Coefficients | Mathematics (Civil Engineering -1)
Students

Academic Programs

AI-powered learning for grades 8-12, aligned with major curricula

Professional

Professional Courses

Industry-relevant training in Business, Technology, and Design

Games

Interactive Games

Fun games to boost memory, math, typing, and English skills

Example 1: Real and Distinct Roots

3.7.1 - Example 1: Real and Distinct Roots

Enroll to start learning

You’ve not yet enrolled in this course. Please enroll for free to listen to audio lessons, classroom podcasts and take practice test.

Youtube Videos

2.  Quadratic Equations and Inequalities - Example 1 (2 Real and Distinct Roots)
2. Quadratic Equations and Inequalities - Example 1 (2 Real and Distinct Roots)
Part11- Class 10 Quadratic Equation 🔥 Very Important Concept 🔥 Many Students Do Not Know
Part11- Class 10 Quadratic Equation 🔥 Very Important Concept 🔥 Many Students Do Not Know
Nature of Roots - Examples | Quadratic Equations | Don't Memorise
Nature of Roots - Examples | Quadratic Equations | Don't Memorise
Short Trick of Maths CBSE class 10th 🤯||Shobhit Nirwan #cbse #class10 #shorts #study #maths #funny
Short Trick of Maths CBSE class 10th 🤯||Shobhit Nirwan #cbse #class10 #shorts #study #maths #funny
Nature of Roots Based on Discriminant D — Real, Equal, or Complex Explained | Limitless Math
Nature of Roots Based on Discriminant D — Real, Equal, or Complex Explained | Limitless Math
How to Find Out Nature of Roots of a Quadratic Equation 📖 | Mathematics Concept #ytshorts
How to Find Out Nature of Roots of a Quadratic Equation 📖 | Mathematics Concept #ytshorts
Unveiling Descartes Rule of Signs: Unlock Maximum Real Roots #Polynomials #jeeadvanced #jeehacks
Unveiling Descartes Rule of Signs: Unlock Maximum Real Roots #Polynomials #jeeadvanced #jeehacks
3.3 Distinct real roots example
3.3 Distinct real roots example
Number of real roots of x^4 - 4x + 1 = 0 #jeemains #jeeadvanced #maths
Number of real roots of x^4 - 4x + 1 = 0 #jeemains #jeeadvanced #maths
The number of distinct real roots of the equation |x| |x+2| - 5 |x+1| - 1 = 0 is
The number of distinct real roots of the equation |x| |x+2| - 5 |x+1| - 1 = 0 is