Timoshenko Beam Theory - 1 | 28. Timoshenko Beam Theory | Solid Mechanics
Students

Academic Programs

AI-powered learning for grades 8-12, aligned with major curricula

Professional

Professional Courses

Industry-relevant training in Business, Technology, and Design

Games

Interactive Games

Fun games to boost memory, math, typing, and English skills

Timoshenko Beam Theory

1 - Timoshenko Beam Theory

Enroll to start learning

You’ve not yet enrolled in this course. Please enroll for free to listen to audio lessons, classroom podcasts and take practice test.

Practice

Interactive Audio Lesson

Listen to a student-teacher conversation explaining the topic in a relatable way.

Introduction to Timoshenko Beam Theory

🔒 Unlock Audio Lesson

Sign up and enroll to listen to this audio lesson

0:00
--:--
Teacher
Teacher Instructor

Welcome class! Today we're discussing the Timoshenko Beam Theory. Can anyone tell me how this theory differs from the Euler-Bernoulli beam theory?

Student 1
Student 1

The Euler-Bernoulli theory assumes that the centerline tangent and cross-section normal are aligned, right?

Teacher
Teacher Instructor

Exactly! In Timoshenko's theory, we assume they are not aligned. This means we have two variables: the deflection and the cross-section rotation. Can anyone recall why this distinction is important?

Student 2
Student 2

It’s important for understanding shear deformation in shorter beams.

Teacher
Teacher Instructor

Correct! This brings significant accuracy, especially in beams with lower aspect ratios. Remember: more variables can lead to more precise modeling.

Governing Equations of TBT

🔒 Unlock Audio Lesson

Sign up and enroll to listen to this audio lesson

0:00
--:--
Teacher
Teacher Instructor

Now, let's delve into the governing equations of TBT. Can anyone write down the expression for shear force in relation to deflection and rotation?

Student 3
Student 3

Is it dy/dX - θ = V/(kGA)?

Teacher
Teacher Instructor

Good job! And what about the moment-curvature relationship?

Student 4
Student 4

That would be EIκ = M.

Teacher
Teacher Instructor

Exactly! Remember that these equations help us understand the interactions between shear forces and moments in a beam. It's a system of equations, and solving these gives us insight into beam behavior.

Real-Life Application of TBT

🔒 Unlock Audio Lesson

Sign up and enroll to listen to this audio lesson

0:00
--:--
Teacher
Teacher Instructor

Let’s apply TBT to a cantilever beam subjected to a transverse load. What would our first step be?

Student 1
Student 1

Finding the shear force and bending moment distribution?

Teacher
Teacher Instructor

Exactly! By sketching a free body diagram, how would we conclude the moment at the point we cut?

Student 2
Student 2

We’d use the equation M(X) = P(L−X) for the moment balance.

Teacher
Teacher Instructor

Right on point! This interpretation allows us to find the deformations accurately with TBT, giving us a clearer picture than EBT.

Choosing Between EBT and TBT

🔒 Unlock Audio Lesson

Sign up and enroll to listen to this audio lesson

0:00
--:--
Teacher
Teacher Instructor

Now, how do we decide when to use Timoshenko beam theory versus Euler-Bernoulli beam theory?

Student 3
Student 3

If the results from TBT are similar to those from EBT, we just apply EBT, right?

Teacher
Teacher Instructor

Exactly! EBT is simpler and valid when shear can be neglected. What factor helps us determine this?

Student 4
Student 4

The aspect ratio of the beam?

Teacher
Teacher Instructor

Spot on! When the aspect ratio is greater than around 10, we can safely use EBT. Always consider the geometry and material properties!

Introduction & Overview

Read summaries of the section's main ideas at different levels of detail.

Quick Overview

The Timoshenko Beam Theory (TBT) enhances the Euler-Bernoulli beam theory by introducing cross-section rotation and shear deformation, allowing for a more accurate analysis of beam behavior under loading.

Standard

Timoshenko Beam Theory distinguishes itself by accepting that the cross-sectional normal does not necessarily align with the centerline tangent during deformation, thus accounting for both deflection and cross-section rotation as independent variables. The theory derives governing equations that relate shear force, bending moment, and curvature for more accurate predictions compared to Euler-Bernoulli beam theory, particularly in beams of lower aspect ratios.

Detailed

Detailed Summary of Timoshenko Beam Theory

Timoshenko Beam Theory (TBT) provides a refined approach to beam analysis by incorporating both shear deformations and rotations of beam cross-sections, which is particularly significant in short beams where shear deformation is pronounced. Unlike the Euler-Bernoulli beam theory, where it is assumed that the centerline tangent aligns with the cross-section normal, TBT allows for a disconnect between these elements. This results in two independent kinematic variables: the deflection of the beam and the rotation of the cross-section.

Governing Equations

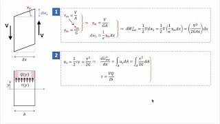
Within TBT, the governing equations emerge from the consideration of an initially straight beam undergoing arbitrary loads, leading to new relationships between shear forces and bending moments, emphasizing the importance of shear strain at the centroid.

The equations are expressed as follows:

  1. Shear Force Relationship:
    $$\frac{dy}{dX} - \theta = \frac{V}{kGA}$$
  2. Moment-Curvature Relation:
    $$EI \kappa = M$$

These equations form a coupled first-order linear differential system, requiring boundary conditions for completion.

Example and Application

An example explored is a cantilever beam subjected to a transverse load, comparing results obtained through TBT with those from Euler-Bernoulli theory to illustrate the improved accuracy of TBT in specific scenarios. This section also discusses criteria for choosing between the two theories based on aspect ratios and material properties.

Key Insights

The theoretical groundwork provided by TBT becomes crucial in engineering applications, especially as beam dimensions decrease or when materials reveal significant shear effects. This detailed understanding allows engineers to predict and mitigate potential failures more effectively through appropriate design choices.

Youtube Videos

Timoshenko Beam Theory Part 1 of 3: The Basics
Timoshenko Beam Theory Part 1 of 3: The Basics
Euler-Bernoulli vs Timoshenko Beam Theory
Euler-Bernoulli vs Timoshenko Beam Theory
Lecture 8: Beam Theory in FEA- Euler-Bernoulli vs Timoshenko
Lecture 8: Beam Theory in FEA- Euler-Bernoulli vs Timoshenko
Solid Mechanics Theory | Euler-Bernoulli Beams
Solid Mechanics Theory | Euler-Bernoulli Beams
#4   Advanced Solid Mechanics
#4 Advanced Solid Mechanics
Mechanics of Solids (in Persian) | Shear Factor in Timoshenko–Ehrenfest Beam Theory
Mechanics of Solids (in Persian) | Shear Factor in Timoshenko–Ehrenfest Beam Theory
Timoshenko Beam Theory Part 2 of 3: Hamilton's Principle
Timoshenko Beam Theory Part 2 of 3: Hamilton's Principle
Mechanics of Solids (in Persian) | Shear Deformation and Timoshenko–Ehrenfest Beam Theory
Mechanics of Solids (in Persian) | Shear Deformation and Timoshenko–Ehrenfest Beam Theory
2 (Timoshenko beam theory)
2 (Timoshenko beam theory)
Finite Element Methods: Lecture 12 - 1D Timoshenko Beam Element Formulation
Finite Element Methods: Lecture 12 - 1D Timoshenko Beam Element Formulation

Audio Book

Dive deep into the subject with an immersive audiobook experience.

Introduction to Timoshenko Beam Theory

Chapter 1 of 4

🔒 Unlock Audio Chapter

Sign up and enroll to access the full audio experience

0:00
--:--

Chapter Content

In Euler-Bernoulli beam theory, it is assumed that the centerline tangent and the cross-section normal are aligned as shown in Figure 1a. So, we have only one kinematic variable which is the deflection of the beam y: we can obtain the cross-section orientation from its derivative, i.e., . However, in Timoshenko Beam Theory (TBT), we do not assume the centerline tangent and cross-section normal to be aligned as shown in Figure 1b. Thus, this is a more general theory than EBT: we now have deflection y and cross-section rotation θ as two independent unknowns.

Detailed Explanation

The Timoshenko Beam Theory expands upon the classical Euler-Bernoulli beam theory by addressing some of its limitations. In Euler-Bernoulli theory, the assumption is made that the angle between the beam's central axis and the cross-section remains constant during bending, which simplifies the analysis. This means that only one variable, the deflection of the beam (y), is needed to determine the deformation. In contrast, Timoshenko theory recognizes that the cross-section can rotate independently of the central axis, resulting in two variables: deflection (y) and rotation (θ). This acknowledgment leads to a more accurate representation of short beams where shear deformations become significant.

Examples & Analogies

Imagine a fishing rod when you cast a line. The rod bends as you apply force, but the top part of the rod (the tip) may twist slightly due to the force of the line pulling on it. The traditional theory would not account for that twist, while Timoshenko's theory would, allowing for a better understanding of how the rod behaves under load.

Governing Equations of Timoshenko Beam Theory

Chapter 2 of 4

🔒 Unlock Audio Chapter

Sign up and enroll to access the full audio experience

0:00
--:--

Chapter Content

Let us consider a beam which is initially straight and gets deformed due to some arbitrary loading. The centerline tangent makes an angle α with the horizontal which implies (assuming the slope to be small enough). The deformed cross-section normal makes an angle θ with the horizontal. Thus, the angle between the cross-sectional line (shown as solid green line in Figure 2b: it should not be confused with cross-section normal) and the centerline tangent becomes . In the undeformed straight beam, the angle between the cross-sectional line and the centerline tangent was which, upon deformation, changes to . As shear strain measures the changes in angle (initial-final angle) between perpendicular line elements, we have.

Detailed Explanation

When a beam is subjected to loading, it bends and rotates, changing the orientation of both its centerline and cross-sections. In Timoshenko Beam Theory, we analyze these changes by measuring the angles formed between the original and deformed shapes of the beam. The angle between the centerline's tangent and the cross-sectional line is critical because it helps in determining shear strains that develop as the beam bends. The theory allows for a relationship between shear force and cross-sectional shear strain, leading to equations that can be used to analyze the beam's loading effectively.

Examples & Analogies

Think about a slinky toy. When you pull on one end, the coils not only get stretched (deflection) but also twist together (rotation). Just like in beams, the changes in position and angles of the coils can be studied to understand how they behave under force, similar to how Timoshenko Beam Theory analyzes bending and rotation in beams.

Examples and Applications

Chapter 3 of 4

🔒 Unlock Audio Chapter

Sign up and enroll to access the full audio experience

0:00
--:--

Chapter Content

Consider the problem that we had solved using EBT in the previous lecture. A transverse force P is applied at the free end of a beam which is clamped at the other one end. This problem is also called a Cantilever Problem. We would like to solve for the deformation using TBT and compare the result with those of EBT.

Detailed Explanation

In practical applications, like a cantilever beam, we can use Timoshenko Beam Theory to analyze how the beam responds to forces. By applying a load at the free end of the cantilever while it is fixed at the other end, we can calculate the resulting displacement and compare these values obtained from TBT with those from the simpler Euler-Bernoulli theory. This comparison helps in realizing the effects of shear deformation, which are significant in short and deep beams where EBT’s conservative assumptions would yield inaccurate results.

Examples & Analogies

Picture a diving board held at one end. When a diver steps on the far end, the board bends, not just downward (deflection) but also slightly twists. Using Timoshenko theory helps in accurately predicting the board's behavior under this load as it combines both bending and twisting effects, unlike the simpler approach that might miss important details.

When to Use Timoshenko vs. Euler-Bernoulli Theory

Chapter 4 of 4

🔒 Unlock Audio Chapter

Sign up and enroll to access the full audio experience

0:00
--:--

Chapter Content

Let us now explore which of the two theories to use in a given scenario. If the result from TBT is very close to the one from EBT, then we can simply apply EBT and neglect the effect of shear.

Detailed Explanation

Choosing the correct beam theory is essential for accurate analysis. When the analysis yields similar results between TBT and EBT, it's acceptable to use the simpler Euler-Bernoulli theory since it reduces the complexity of calculations. However, in applications where shear deformation is significant, as with short or thick beams, Timoshenko theory should be used for a more accurate representation of the actual behavior, ensuring safety and reliability in design.

Examples & Analogies

Consider a narrow wooden plank versus a thick steel beam. For the thin plank, a simpler approach might work well. But if it were a thick steel beam subjected to heavy loads, neglecting shear effects could lead to unsafe designs. Using Timoshenko theory provides a more accurate understanding of how much the beam would bend and twist under stress, much like using a specialized tool for a specific job.

Key Concepts

  • Shear Deformation: The change in the angle of cross-sections of a beam due to shear forces.

  • Cross-section Rotation: The change in orientation of the cross-section of a beam in response to bending.

  • Governing Equations: The equations relating shear force and bending moment that determine beam behavior.

Examples & Applications

A practical application of TBT involves analyzing a cantilever beam with a transverse load to show how predictions differ from EBT.

Another example is calculating the shear stress distribution in a rectangular beam cross-section.

Memory Aids

Interactive tools to help you remember key concepts

🎵

Rhymes

When beam is short, Timoshenko’s the court; shear and rotation, its pure dedication.

📖

Stories

Imagine a beam struggling to stay straight. Timoshenko came and said, 'Don't fret, let's account for what’s rotating and shearing as well.'

🧠

Memory Tools

Remember TBT as 'Two Variables,' representing deflection and rotation.

🎯

Acronyms

Use 'TRAC' for Timoshenko

T

- Torsion

R

- Rotation

A

- Area

C

- Cross-section.

Flash Cards

Glossary

Timoshenko Beam Theory

A theory that incorporates shear deformation and cross-section rotation in beam analysis, offering a more accurate representation of beam behavior, especially in short beams.

EulerBernoulli Beam Theory

A classical beam theory that assumes straight beams with aligned centerline tangents and cross-section normals, neglecting shear deformations.

Shear Force

A force that acts parallel to the beam cross-section, resulting in deformation.

Bending Moment

The moment that induces bending of the beam due to applied loads, leading to curvature in the beam.

Aspect Ratio

The ratio of the length of the beam to its width, significant in determining which beam theory to apply.

Reference links

Supplementary resources to enhance your learning experience.