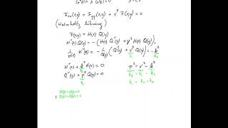
Example 1: Square Membrane - 19.8.1 | 19. Modelling – Membrane, Two-Dimensional Wave Equation | Mathematics (Civil Engineering -1)
Students

Academic Programs

AI-powered learning for grades 8-12, aligned with major curricula

Professional

Professional Courses

Industry-relevant training in Business, Technology, and Design

Games

Interactive Games

Fun games to boost memory, math, typing, and English skills

Example 1: Square Membrane

19.8.1 - Example 1: Square Membrane

Enroll to start learning

You’ve not yet enrolled in this course. Please enroll for free to listen to audio lessons, classroom podcasts and take practice test.

Youtube Videos

Rectangular Membrane Animation in 3D
Rectangular Membrane Animation in 3D
Two modes of vibration of a square membrane
Two modes of vibration of a square membrane
n1-Modes of a Rectangular Membrane (3D-Plot)
n1-Modes of a Rectangular Membrane (3D-Plot)
Membrane Vibrations
Membrane Vibrations
The Vibration in a Circular Membrane Part-1 for B.sc 2nd year by Sapna Agarwal
The Vibration in a Circular Membrane Part-1 for B.sc 2nd year by Sapna Agarwal
Cell Membrane Structure and Function
Cell Membrane Structure and Function
Rectangular membrane (updated)
Rectangular membrane (updated)
n1-Modes of a Rectangular Membrane (2D-Plot)
n1-Modes of a Rectangular Membrane (2D-Plot)
Lecture 7: Vibrations of clamped membranes
Lecture 7: Vibrations of clamped membranes
Vibration Of Membranes
Vibration Of Membranes