Change in pore water pressure - 9.1 | 9. Effective stress under Hydrodynamic Conditions | Geotechnical Engineering - Vol 1
Students

Academic Programs

AI-powered learning for grades 8-12, aligned with major curricula

Professional

Professional Courses

Industry-relevant training in Business, Technology, and Design

Games

Interactive Games

Fun games to boost memory, math, typing, and English skills

Change in pore water pressure

9.1 - Change in pore water pressure

Enroll to start learning

You’ve not yet enrolled in this course. Please enroll for free to listen to audio lessons, classroom podcasts and take practice test.

Practice

Interactive Audio Lesson

Listen to a student-teacher conversation explaining the topic in a relatable way.

Introduction to Pore Water Pressure

🔒 Unlock Audio Lesson

Sign up and enroll to listen to this audio lesson

0:00
--:--
Teacher
Teacher Instructor

Let's talk about the concept of pore water pressure. In simple terms, pore water pressure is the pressure of water within soil pores, which plays a critical role in determining effective stress.

Student 1
Student 1

How does it affect the soil?

Teacher
Teacher Instructor

Great question! When water seeps through the soil, it can either increase or decrease the effective stress depending on flow direction. Can anyone tell me what we mean by effective stress?

Student 2
Student 2

Isn't it the stress that takes into account the pore water pressure?

Teacher
Teacher Instructor

Exactly! Effective stress σ' is calculated by taking total stress σ minus pore water pressure u. Remember that: σ' = σ - u.

Seepage Flow

🔒 Unlock Audio Lesson

Sign up and enroll to listen to this audio lesson

0:00
--:--
Teacher
Teacher Instructor

Now, let’s discuss seepage flow. Picture water moving through soil; this flow creates a hydraulic gradient. How do we calculate this gradient?

Student 3
Student 3

I think it’s the change in head drop divided by the distance. So it’s i = ∆h/∆s.

Teacher
Teacher Instructor

Correct! When water flows downward, it increases effective stress. What happens when it flows upwards?

Student 4
Student 4

It reduces effective stress, even to zero in extreme cases like quick sand!

Teacher
Teacher Instructor

Exactly! And that’s a crucial point to remember—quick sand conditions can cause soil to behave almost like a liquid!

Ground Water Levels and Effective Stress

🔒 Unlock Audio Lesson

Sign up and enroll to listen to this audio lesson

0:00
--:--
Teacher
Teacher Instructor

Now, let’s consider groundwater levels. What happens when the groundwater rises?

Student 1
Student 1

It increases pore water pressure?

Teacher
Teacher Instructor

Correct! As a result, effective stress decreases. Now, conversely, what occurs when groundwater levels drop?

Student 2
Student 2

Effective stress would increase then.

Teacher
Teacher Instructor

Exactly! Remember that a rise in pore water pressure impacts effective stress, but a rise in surface water does not.

Practical Applications

🔒 Unlock Audio Lesson

Sign up and enroll to listen to this audio lesson

0:00
--:--
Teacher
Teacher Instructor

Let’s look at some examples. If we have a soil deposit at different depths, how would we draw stress diagrams?

Student 3
Student 3

We need to calculate total stress, pore water pressure, and effective stress at those depths right?

Teacher
Teacher Instructor

Absolutely! Knowing how to visualize these concepts is vital for understanding the stability and behavior of soil under different hydraulic conditions.

Student 4
Student 4

What happens if the excavation depth changes?

Teacher
Teacher Instructor

Excellent question! Changes in excavation depth can alter effective stress levels drastically, especially if pore water pressure reaches a critical level.

Introduction & Overview

Read summaries of the section's main ideas at different levels of detail.

Quick Overview

This section discusses how changes in pore water pressure affect effective stress in soil, especially under hydrodynamic conditions.

Standard

The section explains the relationship between pore water pressure and effective stress, highlighting how upward and downward seepage flows influence inter-particle contact forces and stability conditions in soil.

Detailed

Change in Pore Water Pressure

This section details the concept of effective stress in soils under hydrodynamic conditions. The primary focus is on how pore water pressure fluctuates when there’s seepage flow within the ground. Water moves between two designated points, P and Q, driven by the hydraulic gradient, defined as the head drop per unit distance (i = ∆h/∆s).

As water percolates through the soil, it interacts with soil particles, altering the effective stress. Downward water flow increases effective stress, while upward flow can neutralize gravitational forces, potentially leading to a quick sand condition where effective stress drops to zero. This phenomena is mostly noticeable in materials like coarse silt or fine sand under specific hydraulic gradients.

Moreover, the section highlights how changes in ground water levels impact effective stress, demonstrating that increasing pore water pressure can reduce effective stress in the soil structure. Conversely, a drop in groundwater leads to an increase in effective stress. Important equations governing effective stress are introduced (σ' = σ - u). Examples illustrate practical implications through total stress, pore water pressure, and effective stress calculations in various conditions.

Youtube Videos

Skempton's Pore Pressure Parameters | Lecture 35 | Geotechnical Engineering
Skempton's Pore Pressure Parameters | Lecture 35 | Geotechnical Engineering
Effective Stress Principle
Effective Stress Principle
GEOTECHNICAL ENGINEERING- Submerged Soil Mass Effective Stress/ Total Stress/ Pore Water Pressure
GEOTECHNICAL ENGINEERING- Submerged Soil Mass Effective Stress/ Total Stress/ Pore Water Pressure
Total Stress, Pore Water Pressure and Effective Stress | Lecture 7 | Geotechnical Engineering
Total Stress, Pore Water Pressure and Effective Stress | Lecture 7 | Geotechnical Engineering
Pore Water Pressure in a Soil Mass. Basics of Geotechnical Engineering
Pore Water Pressure in a Soil Mass. Basics of Geotechnical Engineering
Soil Density Test #engineering  #engineeringgeology #soilmechanics  #experiment  #science #soil
Soil Density Test #engineering #engineeringgeology #soilmechanics #experiment #science #soil
GEOTECHNICAL ENGINEERING- Effective Stress/ Total Stress/ Pore Water Pressure Definition and Formula
GEOTECHNICAL ENGINEERING- Effective Stress/ Total Stress/ Pore Water Pressure Definition and Formula
44 Skempton s Pore Pressure Parameters
44 Skempton s Pore Pressure Parameters
How to Estimate Changes in Vertical Stress, Pore Water Pressure and Strain #education
How to Estimate Changes in Vertical Stress, Pore Water Pressure and Strain #education
Stresses in Geotechnical Engineering: Total, Vertical, Horizontal Stresses, and Pore Water Pressure
Stresses in Geotechnical Engineering: Total, Vertical, Horizontal Stresses, and Pore Water Pressure

Audio Book

Dive deep into the subject with an immersive audiobook experience.

Introduction to Pore Water Pressure Changes

Chapter 1 of 6

🔒 Unlock Audio Chapter

Sign up and enroll to access the full audio experience

0:00
--:--

Chapter Content

There is a change in pore water pressure in conditions of seepage flow within the ground. Consider seepage occurring between two points P and Q. The potential driving the water flow is the hydraulic gradient between the two points, which is equal to the head drop per unit length. In steady state seepage, the gradient remains constant. Hydraulic gradient from P to Q, i = ∆h/∆s.

Detailed Explanation

Pore water pressure refers to the pressure exerted by water within the soil's pore spaces. When water seeps through soil, this pressure changes based on the hydraulic gradient, which is the difference in water head between two points divided by the distance between them. If the groundwater is moving in a steady state, this gradient does not change.

Examples & Analogies

Think of it like a sloping water slide. The height difference between the top and bottom of the slide represents the head drop, while the slide's length represents the distance. Just as water flows more quickly down a steeper slide, water in the ground flows faster when there's a greater hydraulic gradient.

Effects of Water Flow Direction on Effective Stress

Chapter 2 of 6

🔒 Unlock Audio Chapter

Sign up and enroll to access the full audio experience

0:00
--:--

Chapter Content

As water percolates through soil, it exerts a drag on soil particles it comes in contact with. Depending on the flow direction, either downward or upward, the drag either increases or decreases inter-particle contact forces. A downward flow increases effective stress. In contrast, an upward flow opposes the force of gravity and can even cause to counteract completely the contact forces. In such a situation, effective stress is reduced to zero and the soil behaves like a very viscous liquid. Such a state is known as quick sand condition.

Detailed Explanation

When water flows through soil, it interacts with the particles that make up the soil. If the water flows downwards, it helps push the particles together, increasing the effective stress (the stress that affects the strength of the soil). On the other hand, if the water flows upwards, it can lift the particles apart, lowering the effective stress and potentially leading to a quick sand condition, where the soil loses its strength and can behave like a liquid.

Examples & Analogies

Imagine pouring a thick mixture of sand and water into a container. As the water flows down, it packs the sand tighter together. However, if you were to blow air upwards through the mixture, you would see the sand lift and separate, similar to how upward water flow can turn stable soil into quicksand.

Understanding Critical Hydraulic Gradient

Chapter 3 of 6

🔒 Unlock Audio Chapter

Sign up and enroll to access the full audio experience

0:00
--:--

Chapter Content

This shows that when water flows upward under a hydraulic gradient of about 1, it completely neutralizes the force on account of the weight of particles, and thus leaves the particles suspended in water.

Detailed Explanation

The critical hydraulic gradient is the point at which the upward flow of water is strong enough to counteract the weight of the soil particles. This gradient is crucial in determining the stability of soil under water pressure. If the hydraulic gradient reaches approximately 1, the effective stress becomes zero, and the soil can no longer support its weight, leading to conditions like quicksand.

Examples & Analogies

Think of a balloon filled with air. The air inside creates pressure that holds the balloon's shape. If you make a small hole in the balloon, the air can escape rapidly. If you push enough air in through the bottom, it could keep all the balloon's parts afloat. The critical hydraulic gradient is like the pressure you need to keep that balloon from collapsing.

Importance of Effective Stress

Chapter 4 of 6

🔒 Unlock Audio Chapter

Sign up and enroll to access the full audio experience

0:00
--:--

Chapter Content

At any point within the soil mass, the magnitudes of both total stress and pore water pressure are dependent on the ground water position. With a shift in the water table due to seasonal fluctuations, there is a resulting change in the distribution in pore water pressure with depth. Changes in water level below ground result in changes in effective stresses below the water table.

Detailed Explanation

Effective stress is significant because it reflects the true stress that soil particles experience. As the groundwater level changes, the total stress (the weight of the soil above) and the pore water pressure (the pressure from water in the soil) also change. An increase in water level increases pore pressure and decreases effective stress, while a decrease in water level has the opposite effect.

Examples & Analogies

Consider a sponge soaked in water. When the sponge is full of water (high pore water pressure), it squishes easily because the water makes it less cohesive. When you squeeze it and let some of the water out (dropping the water level), the sponge becomes firmer and harder to compress, similar to how effective stress changes with water level.

Impact of Surface Water Levels

Chapter 5 of 6

🔒 Unlock Audio Chapter

Sign up and enroll to access the full audio experience

0:00
--:--

Chapter Content

Changes in water level above ground do not cause changes in effective stresses in the ground below. A rise above ground surface increases both the total stress and the pore water pressure by the same amount, and consequently effective stress is not altered.

Detailed Explanation

While groundwater levels influence effective stress, changes in surface water levels do not affect it. If the water level above ground rises, both the total stress and pore pressure increase equally, hence, the effective stress remains constant. This is crucial for understanding soil behavior during floods or heavy rains.

Examples & Analogies

Imagine a pot filled with water and soil at the bottom. If you raise the pot without changing the water inside, the weight (total stress) and the pressure of the water on the soil will both increase equally, but the way the soil behaves (effective stress) remains the same.

Effective Stress Calculation

Chapter 6 of 6

🔒 Unlock Audio Chapter

Sign up and enroll to access the full audio experience

0:00
--:--

Chapter Content

In some analyses, it is better to work with the changes of quantity, rather than in absolute quantities. The effective stress expression then becomes: σ' = σ - u. If both total stress and pore water pressure change by the same amount, the effective stress remains constant.

Detailed Explanation

The formula for effective stress highlights its dependence on total stress (σ) and pore water pressure (u). By focusing on changes rather than absolute values, it becomes easier to analyze how variations in loading or pore pressure will affect effective stress. If both the total stress and pore pressure change by the same amount, the effective stress is unchanged.

Examples & Analogies

Consider weighing a bag of flour. If you add a weight equal to that of the bag itself, the net effect doesn't change. This is analogous to effective stress; if both total stress and pore pressure increase or decrease equally, the ‘weight’ felt by the soil structure remains unaffected.

Key Concepts

  • Seepage Flow: The process where water moves through the soil influenced by hydraulic gradients.

  • Effective Stress: The stress that contributes to soil strength, calculated as total stress minus pore water pressure.

  • Quick Sand Condition: A state where effective stress is reduced to zero due to high upward pore water pressure.

Examples & Applications

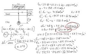
Example 1: Calculating effective stress at various depths including total stress and pore water pressure.

Example 2: Understanding the artesian pressure under specific conditions in clay and sand layers.

Memory Aids

Interactive tools to help you remember key concepts

🎵

Rhymes

When water flows down, stress goes up, but flows up brings stress to a stop.

📖

Stories

Imagine a soil layer where the water flows down like a river, pushing on soil grains and making them firm, while if it flows up, it’s like those grains are floating in a pool, losing their weight.

🧠

Memory Tools

Use 'P.E.S.' to remember: Pore Water Pressure, Effective Stress, and Seepage Flow.

🎯

Acronyms

Remember 'PE-SS'

Pore Pressure Elevates Stress Stability (or the lack thereof in quicksand).

Flash Cards

Glossary

Effective Stress

The stress that contributes to soil strength, calculated by subtracting pore water pressure from total stress.

Pore Water Pressure

The pressure exerted by water within the soil pores, influencing effective stress.

Seepage Flow

The movement of water through soil due to hydraulic gradients.

Hydraulic Gradient

The slope of the water level; the change in head per unit distance, affecting water movement.

Quick Sand Condition

When soil loses its strength and behaves like a liquid due to high upward pore water pressures.

Reference links

Supplementary resources to enhance your learning experience.