Factors Affecting Areal Distribution of Rainfall - 8.2 | 8. Mean Precipitation Over an Area | Hydrology & Water Resources Engineering - Vol 1
Students

Academic Programs

AI-powered learning for grades 8-12, aligned with major curricula

Professional

Professional Courses

Industry-relevant training in Business, Technology, and Design

Games

Interactive Games

Fun games to boost memory, math, typing, and English skills

Factors Affecting Areal Distribution of Rainfall

8.2 - Factors Affecting Areal Distribution of Rainfall

Enroll to start learning

You’ve not yet enrolled in this course. Please enroll for free to listen to audio lessons, classroom podcasts and take practice test.

Practice

Interactive Audio Lesson

Listen to a student-teacher conversation explaining the topic in a relatable way.

Topography and Rainfall

🔒 Unlock Audio Lesson

Sign up and enroll to listen to this audio lesson

0:00
--:--
Teacher
Teacher Instructor

Let's talk about how topography affects rainfall distribution. Who can tell me what orographic lifting is?

Student 1
Student 1

Is it the process where air is forced to rise over mountains, leading to precipitation?

Teacher
Teacher Instructor

Exactly! As the air rises, it cools and condenses, resulting in rain on the windward side. Can anyone explain what happens on the leeward side?

Student 2
Student 2

It probably gets less rain because the air descends and warms up.

Teacher
Teacher Instructor

Correct! This leads to a rain shadow effect. Think of it as 'mountains steal the rain.' Now, what other factors do you think may influence rainfall?

Wind Patterns

🔒 Unlock Audio Lesson

Sign up and enroll to listen to this audio lesson

0:00
--:--
Teacher
Teacher Instructor

Today, let's focus on wind patterns. How do you think they affect where storms form?

Student 3
Student 3

Winds can carry moisture from oceans, so areas near coasts might get more rain?

Teacher
Teacher Instructor

Absolutely! Wind patterns and direction can significantly impact the intensity and location of storms. Which regions would typically get more precipitation, do you think?

Student 4
Student 4

Regions that face prevailing winds might get more rain?

Teacher
Teacher Instructor

That's right! The exposure to moisture-laden winds increases precipitation in those areas. Let’s remember: 'Winds bring water.' Why is this important for us as hydrologists?

Storm Characteristics

🔒 Unlock Audio Lesson

Sign up and enroll to listen to this audio lesson

0:00
--:--
Teacher
Teacher Instructor

Now that we know topography and wind patterns affect rainfall, let’s talk about storm characteristics. What factors of storms should we consider?

Student 2
Student 2

Things like how long they last and how strong they are?

Teacher
Teacher Instructor

Exactly! Duration and intensity are crucial. A longer storm can cover more area. Can someone give an example of how this impacts a region?

Student 1
Student 1

Maybe a heavy rainstorm over a few hours could flood a small area, but a constant drizzle over days could help crops?

Teacher
Teacher Instructor

Well put! So, remember: 'Duration is key to water.' Both length and intensity shape rainfall patterns and should be considered in our studies.

Rain Gauge Networks

🔒 Unlock Audio Lesson

Sign up and enroll to listen to this audio lesson

0:00
--:--
Teacher
Teacher Instructor

Let’s conclude with the role of rain gauge networks. Why do you think the placement of these gauges is important?

Student 3
Student 3

If they’re far apart, we won’t get an accurate reading of rainfall across the area?

Teacher
Teacher Instructor

That's right! Sparse networks can miss local variations in rainfall. Can anyone think of a solution to improve this?

Student 4
Student 4

Maybe we could consider using more gauges or adjust their locations based on topographic features?

Teacher
Teacher Instructor

Excellent idea! A dense and well-placed rain gauge network allows for better estimates of areal precipitation. Remember: 'Connected gauges save rain data.'

Introduction & Overview

Read summaries of the section's main ideas at different levels of detail.

Quick Overview

This section outlines the key factors influencing the spatial distribution of rainfall, including topography, wind patterns, storm characteristics, and rain gauge network density.

Standard

The section discusses several fundamental factors that affect how rainfall is distributed over an area, emphasizing the roles of topography, wind patterns, storm characteristics, and the configuration of rain gauge networks. Each of these elements contributes to the spatial variability of precipitation, highlighting the complexities involved in estimating mean precipitation over larger areas.

Detailed

Factors Affecting Areal Distribution of Rainfall

The distribution of rainfall over an area is influenced by several key factors:

  1. Topography: The presence of mountains and valleys affects orographic lifting, which can concentrate precipitation in specific areas. Areas on the windward side of mountains experience more rainfall than the leeward side due to this lifting effect.
  2. Wind Patterns and Direction: The prevailing wind patterns and their directions play a crucial role in determining where storms develop and how intense they become. For example, moist air masses interacting with mountain ranges can lead to increased precipitation.
  3. Storm Characteristics: Each storm's duration, intensity, and movement significantly affect rainfall distribution. Longer-lasting and more intense storms can cover larger areas, while brief, intense storms may lead to localized distribution.
  4. Rain Gauge Network Density and Placement: The arrangement and density of rain gauge stations affect the accuracy of precipitation estimates. A sparse or unevenly distributed gauge network can lead to inaccuracies in measuring areal mean precipitation, as it may not reflect the true spatial variability of rainfall.

Understanding these factors is vital for effective hydrology planning, flood forecasting, and water resource management.

Youtube Videos

Methods of Finding Missing Rainfall Data - Hydrology - Water Resource Engineering 1
Methods of Finding Missing Rainfall Data - Hydrology - Water Resource Engineering 1
Runoff, It's Type, Factors Affecting on Runoff - Hydrology - Water Resource Engineering 1
Runoff, It's Type, Factors Affecting on Runoff - Hydrology - Water Resource Engineering 1
Methods of Finding Average Rainfall Data - Hydrology - Water Resource Engineering 1
Methods of Finding Average Rainfall Data - Hydrology - Water Resource Engineering 1
Numerical on Missing Rainfall Data - Hydrology - Water Resource Engineering 1
Numerical on Missing Rainfall Data - Hydrology - Water Resource Engineering 1
1. Basic Definitions || Hydrology || Water Resource Engineering
1. Basic Definitions || Hydrology || Water Resource Engineering
Representation of Rainfall Data - Hydrology - Water Resource Engineering 1
Representation of Rainfall Data - Hydrology - Water Resource Engineering 1
Hydrology: Lecture 4 Part 1: Areal rainfall, Thiessen Polygon Method, Isohyetal method
Hydrology: Lecture 4 Part 1: Areal rainfall, Thiessen Polygon Method, Isohyetal method
Concept  of Hydrograph, Component of Hydrograph - Hydrology -  Water Resource Engineering 1
Concept of Hydrograph, Component of Hydrograph - Hydrology - Water Resource Engineering 1
How is rainfall measured?| Chhoti Si Baat | बारिश कैसे मापते हैं?| The Lallantop
How is rainfall measured?| Chhoti Si Baat | बारिश कैसे मापते हैं?| The Lallantop
Thissen polygon method of rainfall ll #rainfall
Thissen polygon method of rainfall ll #rainfall

Audio Book

Dive deep into the subject with an immersive audiobook experience.

Topography

Chapter 1 of 4

🔒 Unlock Audio Chapter

Sign up and enroll to access the full audio experience

0:00
--:--

Chapter Content

• Topography: Mountains and valleys affect orographic lifting and precipitation concentration.

Detailed Explanation

Topography refers to the physical features of the land, including mountains, valleys, and plains. In areas where there are mountains, the air is forced to rise when it encounters the mountain slopes. This rising air cools and condenses to form clouds, resulting in precipitation. This phenomenon is known as orographic lifting. Conversely, valleys may experience less rainfall because the mountains block moisture-laden winds from reaching them. Therefore, mountainous regions often receive more rainfall due to this effect, while areas in the shadow of these mountains may be drier.

Examples & Analogies

Think of a mountain as a giant barrier that forces clouds to rise. When you blow up a balloon, air pushes against it and the shape of the balloon changes. Similarly, when moist air hits a mountain, it has to rise, cool down, and can result in rain on the mountain side, while the other side (the rain shadow) remains dry.

Wind Patterns and Direction

Chapter 2 of 4

🔒 Unlock Audio Chapter

Sign up and enroll to access the full audio experience

0:00
--:--

Chapter Content

• Wind patterns and direction: Influence the location and intensity of storms.

Detailed Explanation

Wind patterns are essential in determining how and where precipitation occurs. Different regions have prevailing winds that transport moist air from oceans or other bodies of water. When these winds encounter land, they can cause storms to develop. The direction of these winds can thus impact regions differently; for instance, countries located downwind of a body of water may receive more rainfall compared to those that are upwind. The intensity and frequency of storms also vary with these patterns, affecting rainfall distribution significantly.

Examples & Analogies

Imagine the wind as a delivery truck bringing rain to different neighborhoods. If the truck is consistently driving from the coastline to the inland areas, neighborhoods that are directly in the path of the truck (downwind) will receive more packages (rain), while those on the opposite side (upwind) may get fewer or even miss out entirely.

Storm Characteristics

Chapter 3 of 4

🔒 Unlock Audio Chapter

Sign up and enroll to access the full audio experience

0:00
--:--

Chapter Content

• Storm characteristics: Duration, intensity, and movement determine precipitation patterns.

Detailed Explanation

The characteristics of a storm, such as its duration (how long it lasts), intensity (how strong the rain is), and movement (the direction in which it travels) play a critical role in how much rainfall a particular area receives. A storm that lasts for a long time can lead to heavy rainfall over the same area, causing significant precipitation. In contrast, a quick-moving storm might dump rain over a smaller area without significant accumulation in any single location. Thus, understanding these characteristics is essential for predicting rainfall distribution across different regions.

Examples & Analogies

Consider a sponge under a dripping faucet. If you hold the sponge directly underneath it, it will soak up water quickly (intense rain). But if the faucet drips slowly from a distance, it will take much longer to fill the sponge (light rain). Depending on how long the water drips and at what speed, the sponge can be dry or soaked!

Rain Gauge Network Density and Placement

Chapter 4 of 4

🔒 Unlock Audio Chapter

Sign up and enroll to access the full audio experience

0:00
--:--

Chapter Content

• Rain gauge network density and placement: Sparse or uneven networks lead to inaccurate estimates.

Detailed Explanation

Rain gauges are devices used to measure precipitation. The density and location of these gauges are crucial for accurate rainfall estimation. If there are too few rain gauges in an area, or if they are unevenly distributed, it can lead to inaccurate representations of the actual rainfall. For instance, if all gauges are situated in one part of a region that receives ample rain but none are placed in drier areas, the resulting estimate will reflect high precipitation that may not be representative of the entire area. Therefore, a well-planned rain gauge network is critical for effective rainfall monitoring.

Examples & Analogies

Imagine trying to assess the popularity of an ice cream flavor by surveying only one part of a city where everyone prefers chocolate. If you don’t ask people in other neighborhoods where they might like vanilla or strawberry, your conclusion about the most popular flavor will be skewed. Similarly, good placement and enough rain gauges across different regions ensure accurate rainfall data.

Key Concepts

  • Topography: Influences precipitation through orographic lifting and the rain shadow effect.

  • Wind Patterns: Effect rainfall distribution based on storm paths and moisture transport.

  • Storm Characteristics: Duration and intensity impact local rainfall patterns.

  • Rain Gauge Networks: Adequate density and placement are crucial for accurate rainfall measurement.

Examples & Applications

An area facing a mountain range experiences heavy rainfall on the windward side, while the opposite side remains dry.

A city located along the coast benefits from moist winds, resulting in higher precipitation compared to inland areas.

Memory Aids

Interactive tools to help you remember key concepts

🎵

Rhymes

Mountains lift the air so high, rain falls where clouds touch the sky.

📖

Stories

Once, a mountain stood tall, blocking the rain's flow. On one side, fields flourished, while on the other, plants cried for water.

🧠

Memory Tools

To remember 'Topography, Wind, Storm, Gauges' for rainfall factors: TWSG - Think While Studying Geography.

🎯

Acronyms

P.O.W.S

Precipitation

Orographic lifting

Wind patterns

Storm characteristics - key factors affecting rainfall.

Flash Cards

Glossary

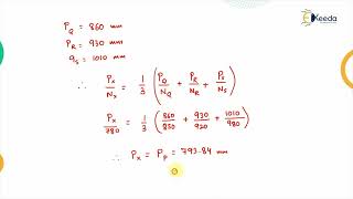
Areal Precipitation

The average precipitation over a specific area, calculated using measurements from multiple rain gauges.

Orographic Lifting

The process by which air rises over a mountain range, causing cooling and condensation, leading to precipitation.

Rain Shadow Effect

An area on the leeward side of a mountain that receives less precipitation due to the blocking effect of the mountain.

Rain Gauge Network

A system of rain gauge stations distributed across an area for measuring precipitation.

Reference links

Supplementary resources to enhance your learning experience.