D'alembert’s Solution (infinite String Case) (17.7) - Modelling – Vibrating String, Wave Equation
Students

Academic Programs

AI-powered learning for grades 8-12, aligned with major curricula

Professional

Professional Courses

Industry-relevant training in Business, Technology, and Design

Games

Interactive Games

Fun games to boost memory, math, typing, and English skills

D'Alembert’s Solution (Infinite String Case)

D'Alembert’s Solution (Infinite String Case)

Enroll to start learning

You’ve not yet enrolled in this course. Please enroll for free to listen to audio lessons, classroom podcasts and take practice test.

Practice

Interactive Audio Lesson

Listen to a student-teacher conversation explaining the topic in a relatable way.

Understanding D'Alembert's Formula

🔒 Unlock Audio Lesson

Sign up and enroll to listen to this audio lesson

0:00
--:--
Teacher
Teacher Instructor

Today, we're exploring D'Alembert’s solution for an infinite string. Can anyone tell me what the wave equation represents?

Student 1
Student 1

Is it about how waves move through a medium?

Teacher
Teacher Instructor

Exactly! The wave equation describes the propagation of waves in various media, including strings. Now, let's dive into D'Alembert's formula. It shows how a wave can be split into two traveling waves, moving in opposite directions at speed c.

Student 2
Student 2

What are the functions f and g in the formula?

Teacher
Teacher Instructor

Good question! The function f represents the initial displacement of the string, while g represents the initial velocity profile. This indicates how the string starts moving.

Student 3
Student 3

So we can visualize it as two waves heading towards opposite ends?

Teacher
Teacher Instructor

Correct! Picture this: one wave travels to the right and the other to the left, combining effects from the initial conditions. Always remember, when waves pass through, they interact and can add to or cancel each other out.

Teacher
Teacher Instructor

To summarize today’s discussion: D'Alembert's formula highlights how two waves propagate in opposite directions based on initial conditions. Understanding this helps in applications like string instruments and engineering structures.

Applications of D'Alembert’s Solution

🔒 Unlock Audio Lesson

Sign up and enroll to listen to this audio lesson

0:00
--:--
Teacher
Teacher Instructor

Let's look at practical applications of D'Alembert's solution. How could we use this knowledge in engineering?

Student 4
Student 4

It might help predict how vibrations travel in buildings or bridges?

Teacher
Teacher Instructor

Exactly! Engineers can use this to assess how structures respond to vibrations. But can anyone explain why knowing the initial conditions is essential?

Student 1
Student 1

Because the way the string moves initially affects everything that happens after?

Teacher
Teacher Instructor

Precisely! The initial conditions, represented by f and g, greatly dictate the string's behavior over time. This is crucial in designing safe structures.

Student 2
Student 2

Can we apply this to other materials, like air or water?

Teacher
Teacher Instructor

Yes, although the specifics differ; wave propagation principles remain foundational across various media. Remember, this understanding allows us to design better materials and structures.

Teacher
Teacher Instructor

In summary, D'Alembert's solution is pivotal in analyzing wave behavior, leading to innovative applications in engineering and beyond.

Introduction & Overview

Read summaries of the section's main ideas at different levels of detail.

Quick Overview

D'Alembert's solution describes the general solution to the wave equation for an infinite string, showcasing how two waves propagate in opposite directions.

Standard

This section covers D'Alembert's formula for the general solution of the wave equation applied to an infinite string, highlighting its significance in understanding wave propagation and the initial velocity profile's influence on the solution.

Detailed

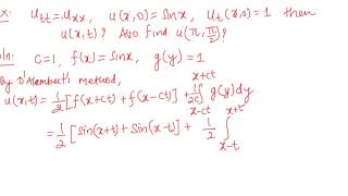
In the case of an infinite string, D'Alembert's formula provides a general solution to the wave equation representing a medium with no boundaries. It is expressed mathematically as:
u(x,t) = rac{1}{2}[f(x+ct) + f(x-ct)] + rac{1}{2c} extstyle{ ext{Z}}_{x-ct}^{x+ct}g(s) ext{ds}.
This formula illustrates that the solution comprises two waves traveling in opposite directions at speed c. The functions f and g represent the initial displacement and velocity profiles of the string, respectively. This solution is critical for understanding wave behavior in various physical systems and is a foundational concept in wave mechanics and structural dynamics.

Youtube Videos

Dalembert's solution to a wave equation of infinite length
Dalembert's solution to a wave equation of infinite length
d' Alembert's Solution - I
d' Alembert's Solution - I
PDE Lect-06: Solution of WAVE Equation with finite & Infinite string length and D'Alembert Solution
PDE Lect-06: Solution of WAVE Equation with finite & Infinite string length and D'Alembert Solution
D'Alembert solution for one dimensional wave equation
D'Alembert solution for one dimensional wave equation
PDE 10 | Wave equation: d'Alembert's formula
PDE 10 | Wave equation: d'Alembert's formula
d' Alembert's Solution - I: Lecture-17
d' Alembert's Solution - I: Lecture-17
V9-11: D'Alembert's solution for wave equation, example, remarks, characteristics. Elem. Diff. Eqns.
V9-11: D'Alembert's solution for wave equation, example, remarks, characteristics. Elem. Diff. Eqns.
Solution of a non homogeneous wave equation of infinite string by D'Alembert method
Solution of a non homogeneous wave equation of infinite string by D'Alembert method
D'Alembert Solution to the Wave Equation
D'Alembert Solution to the Wave Equation
Lec 10: D-Alembert’s Solution of the Wave Equation
Lec 10: D-Alembert’s Solution of the Wave Equation

Audio Book

Dive deep into the subject with an immersive audiobook experience.

D'Alembert's Formula Overview

Chapter 1 of 1

🔒 Unlock Audio Chapter

Sign up and enroll to access the full audio experience

0:00
--:--

Chapter Content

For an infinite string, the general solution to the wave equation is given by D’Alembert’s formula:

\[ u(x,t)= \frac{1}{2} [f(x+ct)+f(x−ct)] + \frac{1}{2c} \int_{x−ct}^{x+ct} g(s)ds \]

This represents two waves traveling in opposite directions with speed c, modified by the initial velocity profile.

Detailed Explanation

D'Alembert's solution is a way to express the solution to the wave equation for an infinite string. It essentially states that the displacement at any point x and time t depends on the initial shapes of the wave (represented by the function f) and also takes into account the initial velocities (represented by the function g). The formula shows that the wave can be broken down into two traveling waves: one moving to the right (f(x + ct)) and the other moving to the left (f(x - ct)). The parameter c represents the speed of the wave, and the integral accounts for initial velocities along the string. This illustrates the principle of superposition, where multiple waves can combine to form a new wave shape.

Examples & Analogies

Consider a long rope stretched out on the ground. If you flick one end of the rope, a wave travels along in both directions. The shape of the wave you see at any moment depends not just on how you flicked the rope but also on how it was shaped initially (if it was already coiled or straight). D'Alembert's formula captures this behavior mathematically, showing how the initial conditions affect the wave's propagation.

Key Concepts

  • D'Alembert's formula: Represents two waves propagating in opposite directions.

  • Initial conditions: They define the behavior of the wave solution over time.

Examples & Applications

In a guitar string, when plucked, the initial displacement creates vibrations that propagate through the string, exemplifying D'Alembert's solution.

An earthquake wave spreading through the ground can be analyzed using D'Alembert’s solution, helping engineers foresee structural responses.

Memory Aids

Interactive tools to help you remember key concepts

🎵

Rhymes

Two waves run, left and right, in D'Alembert's solution, they take flight!

📖

Stories

Imagine a long, stretchy string. When plucked, it sends waves racing left and right, showing how D'Alembert's magic helps us grasp motion!

🧠

Memory Tools

D.V.S. - Displacement, Velocity, Solution. Remember these key elements for D'Alembert’s wave formula!

🎯

Acronyms

W.W.A. - Wave propagation, Waves in opposite directions, Application in engineering.

Flash Cards

Glossary

D'Alembert's Solution

A general solution to the wave equation for an infinite string representing two waves traveling in opposite directions.

Wave Equation

A partial differential equation that describes the propagation of waves in various media.

Initial Conditions

The displacement and velocity profile of a wave at the initial moment in time.

Wave Speed (c)

The speed at which wave disturbances propagate through a medium.

Reference links

Supplementary resources to enhance your learning experience.