Method 2: Using Minors - 22.4.2 | 22. Rank of a Matrix | Mathematics (Civil Engineering -1)
Students

Academic Programs

AI-powered learning for grades 8-12, aligned with major curricula

Professional

Professional Courses

Industry-relevant training in Business, Technology, and Design

Games

Interactive Games

Fun games to boost memory, math, typing, and English skills

Method 2: Using Minors

22.4.2 - Method 2: Using Minors

Enroll to start learning

You’ve not yet enrolled in this course. Please enroll for free to listen to audio lessons, classroom podcasts and take practice test.

Practice

Interactive Audio Lesson

Listen to a student-teacher conversation explaining the topic in a relatable way.

Introduction to Minors

🔒 Unlock Audio Lesson

Sign up and enroll to listen to this audio lesson

0:00
--:--
Teacher
Teacher Instructor

Today, we'll explore how to use minors to find the rank of a matrix. What do you think a minor is, Student_1?

Student 1
Student 1

Isn't it some sort of determinant from a smaller piece of the matrix?

Teacher
Teacher Instructor

Exactly! A minor is the determinant of a square submatrix, which can be derived from the original matrix by removing certain rows and columns. Let's use a simple matrix to demonstrate this.

Student 2
Student 2

How do we determine which submatrices to check?

Teacher
Teacher Instructor

Good question, Student_2! We look at different square submatrices of varying orders. For example, from a 3x3 matrix, we can take 2x2 minors. Each option will help us calculate the determinants.

Finding the Largest Non-Zero Determinant

🔒 Unlock Audio Lesson

Sign up and enroll to listen to this audio lesson

0:00
--:--
Teacher
Teacher Instructor

Now, to find the rank, we must identify the largest order of non-zero determinants. Can someone explain how we go about calculating a determinant for a 2x2 matrix?

Student 3
Student 3

We multiply the diagonal elements and subtract the product of the other diagonal, right?

Teacher
Teacher Instructor

Correct! For a minor like \( \begin{bmatrix} 1 & 2 \\ 4 & 5 \end{bmatrix} \), the determinant would be \( (1)(5) - (2)(4) = 5 - 8 = -3 \). It’s non-zero, so we record this!

Student 4
Student 4

What if we find several non-zero determinants?

Teacher
Teacher Instructor

We choose the highest order of any non-zero determinant found. That's the rank of the matrix!

Examples and Practical Applications

🔒 Unlock Audio Lesson

Sign up and enroll to listen to this audio lesson

0:00
--:--
Teacher
Teacher Instructor

Let’s apply this knowledge to our matrix B from earlier. What did we find when we calculated its determinants?

Student 1
Student 1

We found that the 3x3 determinant of matrix B was zero.

Student 2
Student 2

But we had a non-zero 2x2 minor!

Teacher
Teacher Instructor

Correct! This points to the rank of our matrix being 2 due to the presence of that non-zero determinant.

Student 3
Student 3

So even if the entire matrix has dependent rows, we can still find a rank!

Teacher
Teacher Instructor

Absolutely! The use of minors is a powerful method, especially for large or complex matrices.

Summary and Q&A

🔒 Unlock Audio Lesson

Sign up and enroll to listen to this audio lesson

0:00
--:--
Teacher
Teacher Instructor

To wrap up, what is the main takeaway when using minors to determine the rank of a matrix?

Student 4
Student 4

We need to check the largest non-zero determinant among submatrices!

Teacher
Teacher Instructor

Exactly! And remember the order of that determinant determines the rank. Any questions or points of confusion?

Student 1
Student 1

Can we use this method on any size matrix?

Teacher
Teacher Instructor

Yes, but the complexity increases with larger matrices since there are more minor combinations. Great question!

Introduction & Overview

Read summaries of the section's main ideas at different levels of detail.

Quick Overview

This section explains the method of finding the rank of a matrix using minors, which involves identifying the largest non-zero determinant of square submatrices.

Standard

In this section, we focus on Method 2 for finding the rank of a matrix, emphasizing the process of calculating the order of the largest non-zero determinant from the square submatrices. This offers an alternative approach to understanding matrix rank, particularly useful when the matrix is not in echelon form.

Detailed

Overview of Using Minors to Determine Rank

In linear algebra, determining the rank of a matrix is crucial for understanding its properties and behaviors in various applications. One effective method to ascertain the rank involves finding minors, which are determinants of square submatrices derived from the matrix in question. This section outlines a structured approach to use minors in rank determination as follows:
1. Understanding Minors: A minor of a matrix is defined as the determinant of a square submatrix obtained by removing specific rows and columns. The order of the minor refers to its dimension (e.g., a 2x2 minor from a 3x3 matrix).

  1. Procedure to Determine Rank Using Minors:
  2. Identify the order of successive square submatrices.
  3. Calculate their determinants until reaching the largest non-zero determinant found among these submatrices.
  4. The order corresponding to this determinant is designated as the rank of the matrix.
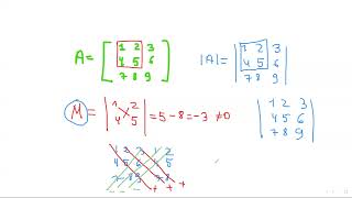
  5. Illustrative Example: Consider a matrix B:
    $$B = \begin{bmatrix} 1 & 2 & 3 \ 4 & 5 & 6 \ 7 & 8 & 9 \end{bmatrix}$$ where the determinant of the full 3x3 matrix equals zero, indicating linear dependence among rows. However, checking the 2x2 minors leads to the identification of a valid non-zero determinant, solidifying the conclusion that the rank of the matrix is 2.

This method is particularly beneficial when working with larger matrices where obtaining echelon form can be cumbersome or impractical.

Youtube Videos

Why Asians are so Good at Math...🤓#shorts
Why Asians are so Good at Math...🤓#shorts
How to find minor and cofactor of Matrices | minor and cofactor of determinant | minor | cofactor
How to find minor and cofactor of Matrices | minor and cofactor of determinant | minor | cofactor
Lec-6: Determinant, Minors And Cofactors | Linear Algebra
Lec-6: Determinant, Minors And Cofactors | Linear Algebra
Linear Algebra. Rank of a matrix. Minor method.
Linear Algebra. Rank of a matrix. Minor method.
How to Teach Numbers to Preschoolers #shorts #earlychildhoodeducation #earlymaths #preschool
How to Teach Numbers to Preschoolers #shorts #earlychildhoodeducation #earlymaths #preschool
Some of my attention getters for my 4th graders #teacherlife #teachers #classroom
Some of my attention getters for my 4th graders #teacherlife #teachers #classroom
Short Trick to Find Adjoint of A Matrix in 60 Seconds
Short Trick to Find Adjoint of A Matrix in 60 Seconds
#abacus #smallkid #mentalmath #imagination whats App 9899698414
#abacus #smallkid #mentalmath #imagination whats App 9899698414
C and k phonic sound difference| Spelling rule for c and k| shorts
C and k phonic sound difference| Spelling rule for c and k| shorts
How to pinch the abacus in 5 seconds!
How to pinch the abacus in 5 seconds!

Audio Book

Dive deep into the subject with an immersive audiobook experience.

Understanding Minors

Chapter 1 of 5

🔒 Unlock Audio Chapter

Sign up and enroll to access the full audio experience

0:00
--:--

Chapter Content

  1. Find the largest order of a non-zero determinant of a square submatrix.

Detailed Explanation

Minors involve identifying smaller square submatrices within a given matrix. The term 'order' refers to the size of these square submatrices. To apply this method, we look for the largest square submatrix whose determinant is non-zero. A determinant being non-zero indicates that the rows or columns of that submatrix are linearly independent.

Examples & Analogies

Think about a team of players in a sport; the larger the team, the more complex it becomes. If you can form a smaller team that works well together (like the submatrix), it shows you have the right mix of players. Thus, finding the 'largest order' corresponds to identifying the biggest effective subgroup.

Order and Rank Connection

Chapter 2 of 5

🔒 Unlock Audio Chapter

Sign up and enroll to access the full audio experience

0:00
--:--

Chapter Content

  1. The order of the highest such non-zero determinant is the rank.

Detailed Explanation

After identifying non-zero determinants of various square submatrices, we determine their sizes (or orders). The maximum size of these non-zero determinants gives us the rank of the original matrix. This means that the rank reflects the dimension of the vector space spanned by the rows or columns of the matrix.

Examples & Analogies

Imagine you are assessing the performance of different departments in a company. The department that consistently meets targets (with non-zero performance indicators) represents the most effective area of the company. In this analogy, the size of that department reflects its influence or 'rank' within the company structure.

Example in Action

Chapter 3 of 5

🔒 Unlock Audio Chapter

Sign up and enroll to access the full audio experience

0:00
--:--

Chapter Content

Example: Let
[1 2 3]
B= 4 5 6
7 8 9
The determinant of the full 3×3 matrix is 0 (since rows are linearly dependent).

Detailed Explanation

In this example, we consider a specific 3x3 matrix. First, we calculate its determinant, which turns out to be zero, indicating that the rows are linearly dependent—meaning one row can be derived from a combination of the others. This tells us that the overall rank of the matrix is less than 3.

Examples & Analogies

Consider the 3x3 matrix as a group project where all members rely on one or two people to perform the tasks. If those key individuals (rows) drop out, the whole project fails (a determinant of 0), and the ability to complete tasks effectively diminishes, reflected in a lower ‘rank’—or capability—of the team.

Finding 2x2 Minors

Chapter 4 of 5

🔒 Unlock Audio Chapter

Sign up and enroll to access the full audio experience

0:00
--:--

Chapter Content

Now check 2×2 minors. Take:
[1 2]
det =(1)(5)−(4)(2)=5−8=−3≠0
4 5

Detailed Explanation

Next, we examine the 2x2 submatrices of the original matrix. For one such submatrix, we calculate its determinant. Finding a non-zero determinant (in this case, 2x2 minor gives -3) confirms that this smaller submatrix reflects independent rows and columns, contributing positively to the overall rank.

Examples & Analogies

It's like discovering that even though the larger organization struggles, smaller project teams are thriving and independent—demonstrated by their successful completion of smaller tasks (with non-zero outcomes). This independence helps illustrate the capabilities that still exist within the organization.

Conclusion and Rank Derivation

Chapter 5 of 5

🔒 Unlock Audio Chapter

Sign up and enroll to access the full audio experience

0:00
--:--

Chapter Content

So rank = 2.

Detailed Explanation

In conclusion, after evaluating the largest square submatrices and finding the highest non-zero determinant order (which was 2 for our previous case), we determine the rank of the matrix to be 2. This signifies that there are 2 linearly independent rows or columns within the original matrix, indicating its effective dimension.

Examples & Analogies

Returning to our project analogy, if your team can only be effective with 2 key members contributing distinctly, then those 2 members represent the rank of the team — giving insight into the strengths of the entire group, even if other members may not provide unique contributions.

Key Concepts

  • Rank: A measure of linear independence within a matrix.

  • Minors: Determinants calculated from square submatrices of a matrix.

  • Determinants: Key arithmetic that helps in understanding the properties of matrices.

Examples & Applications

Example of a 3x3 matrix B where its rank is found using the non-zero determinant of a 2x2 minor.

Example of identifying several minors of various orders and determining the rank of different matrices.

Memory Aids

Interactive tools to help you remember key concepts

🎵

Rhymes

To find the rank, don’t fret, look for minors, don’t forget!

📖

Stories

Imagine searching for treasures in a matrix; the minors are clues leading to the greatest reward - the rank!

🧠

Memory Tools

Remember MINORS: Matrix, Independent, Non-zero, Order, Rank, and Submatrix.

🎯

Acronyms

Use 'RANK' for Remembering

Determinants yield the **R**ank by checking for **A**ny **N**on-zero minor **K**eystones.

Flash Cards

Glossary

Rank

The maximum number of linearly independent rows or columns in a matrix.

Minor

The determinant of a square submatrix derived from a larger matrix.

Determinant

A scalar value that can be computed from the elements of a square matrix.

Submatrix

A matrix formed by deleting one or more rows and/or columns from a larger matrix.

Reference links

Supplementary resources to enhance your learning experience.