Vorticity and Rotationality - 10.2 | 10. Motion and Deformation of Fluid Particle | Fluid Mechanics - Vol 2
Students

Academic Programs

AI-powered learning for grades 8-12, aligned with major curricula

Professional

Professional Courses

Industry-relevant training in Business, Technology, and Design

Games

Interactive Games

Fun games to boost memory, math, typing, and English skills

Vorticity and Rotationality

10.2 - Vorticity and Rotationality

Enroll to start learning

You’ve not yet enrolled in this course. Please enroll for free to listen to audio lessons, classroom podcasts and take practice test.

Practice

Interactive Audio Lesson

Listen to a student-teacher conversation explaining the topic in a relatable way.

Introduction to Vorticity

🔒 Unlock Audio Lesson

Sign up and enroll to listen to this audio lesson

0:00
--:--
Teacher
Teacher Instructor

Today, we're going to explore vorticity, which describes the rotation of fluid particles. Can anyone tell me why understanding this concept is crucial in fluid mechanics?

Student 1
Student 1

I think it's important because it helps us understand how fluids behave under different conditions.

Student 2
Student 2

Does it relate to how fluids create forces, like lift in airplanes?

Teacher
Teacher Instructor

Exactly! Vorticity plays a significant role in applications like aerodynamics. To remember this, think of the acronym 'RNA' – Rotation, Navigation, Application.

Student 3
Student 3

What are the signs of vorticity in a flow?

Teacher
Teacher Instructor

Great question! High vorticity is present in turbulent or rotational flows, which we can often visualize. Let's recap: Vorticity describes fluid rotation, it's important in mechanics, and we use 'RNA' to remember its significance.

Boundary Layers and Vorticity

🔒 Unlock Audio Lesson

Sign up and enroll to listen to this audio lesson

0:00
--:--
Teacher
Teacher Instructor

Now, let’s discuss boundary layers. Can anyone describe what happens as fluid flows over a surface?

Student 1
Student 1

I think there's a gradual change in velocity, right? It slows down at the surface.

Student 2
Student 2

Yes, that leads to the formation of a boundary layer.

Teacher
Teacher Instructor

Correct! In the boundary layer, the velocity gradient is steep, meaning vorticity is high here. Remember the phrase 'Layer of Chaos – where all the action happens.' This will help recall the significance of the boundary layer.

Student 3
Student 3

So the fluid above the boundary layer is irrotational?

Teacher
Teacher Instructor

Absolutely! Outside the boundary layer, the flow is generally irrotational. Let’s summarize: The boundary layer forms a zone of significant velocity gradient with high vorticity while the region above it remains irrotational.

Rotational vs. Irrotational Flow

🔒 Unlock Audio Lesson

Sign up and enroll to listen to this audio lesson

0:00
--:--
Teacher
Teacher Instructor

What is the key difference between rotational and irrotational flow?

Student 1
Student 1

Rotational flow has vorticity and rotation, while irrotational flow doesn't.

Student 2
Student 2

Can you give us practical examples of each?

Teacher
Teacher Instructor

Sure! A tornado represents rotational flow, while air flowing around a smooth sphere tends to be irrotational. Remember 'TORO' for tornado (rotational) and 'SPHERE' for smooth (irrotational).

Student 3
Student 3

This helps me visualize it better!

Teacher
Teacher Instructor

Fantastic! So, to recap: rotational flow has vorticity and is represented by chaotic systems like tornadoes, while irrotational flow is smooth, like airflow around spheres.

Velocity Gradients and Vorticity Measurement

🔒 Unlock Audio Lesson

Sign up and enroll to listen to this audio lesson

0:00
--:--
Teacher
Teacher Instructor

Next, let's look at how to measure vorticity. The vorticity vector is derived from the velocity gradients. Who remembers the cross-product we use?

Student 1
Student 1

Is it the del operator crossed with the velocity vector?

Student 2
Student 2

How does that practically help us?

Teacher
Teacher Instructor

Excellent! It tells us how much rotation there is in the fluid. Think 'Del for Derivatives!' to remember how to find the vorticity.

Student 3
Student 3

Can we visualize this through a graph?

Teacher
Teacher Instructor

Yes! Graphs can illustrate these gradients effectively. Let’s summarize: Vorticity is obtained from the cross-product of the del operator and the velocity vector, revealing rotational behavior in fluids.

Introduction & Overview

Read summaries of the section's main ideas at different levels of detail.

Quick Overview

This section explores the concepts of vorticity and rotationality within fluid mechanics, focusing on boundary layers and the behavior of fluid particles under various flow conditions.

Standard

In this section, we discuss how vorticity relates to the rotational behavior of fluid particles, particularly within boundary layers. The distinction between rotational and irrotational flow is emphasized, illustrating how fluid dynamics is influenced by velocity gradients and boundary conditions.

Detailed

Vorticity and Rotationality

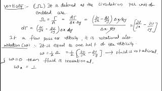
The section elaborates on the concepts of vorticity and rotationality in fluid mechanics, focusing on boundary layer dynamics. Vorticity, defined as the curl of the velocity field, indicates the rotational effect of the fluid particles. When a flow passes over a flat plate, viscous effects become pronounced, leading to the formation of a boundary layer where there's a significant gradient in velocity. This creates turbulence and causes fluid particles to rotate, distinguishing them from regions of irrotational flow outside the boundary layer.

As we delve deeper, we see that fluids closer to the surface experience greater velocity variations, resulting in a high vorticity zone filled with eddies or vortices. Contrastingly, outside this layer, fluid particles exhibit linear translation without significant rotation, characterizing the regions as irrotational. The equations capturing these phenomena, particularly the vorticity vector in different coordinate systems, are discussed. The section also touches upon practical applications such as the behavior of airflows around obstacles and in various fluid machines, enhancing our understanding of real-world fluid dynamics applications and computational predictions in the face of natural events like cyclones.

Youtube Videos

What you need to know about Vorticity [Fluid Mechanics]
What you need to know about Vorticity [Fluid Mechanics]
Introductory Fluid Mechanics L13 p8 - Vorticity and Circulation
Introductory Fluid Mechanics L13 p8 - Vorticity and Circulation
Rotation & Vorticity - Fluid Mechanics | ME/Civil Engineering | SSC JE 2023/RRB JE 2023/DDA JE 2023
Rotation & Vorticity - Fluid Mechanics | ME/Civil Engineering | SSC JE 2023/RRB JE 2023/DDA JE 2023
Vorticity (1 of 2) | Fluid Mechanics
Vorticity (1 of 2) | Fluid Mechanics
derivation of vorticity & rotational & irrorational flow
derivation of vorticity & rotational & irrorational flow
Fluid Mechanics Lesson 04C: Translation, Rotation, and Vorticity
Fluid Mechanics Lesson 04C: Translation, Rotation, and Vorticity
Fluid Mechanics | Lecture 12 | Kinematics of flow | Irrotational flow | Vorticity | Angular Velocity
Fluid Mechanics | Lecture 12 | Kinematics of flow | Irrotational flow | Vorticity | Angular Velocity
Fluid Mechanics | L35 | Fluid Kinematics | Vorticity| Circulation | GATE, ESE
Fluid Mechanics | L35 | Fluid Kinematics | Vorticity| Circulation | GATE, ESE
The free energy of the liquid surface does the work #shorts #physics
The free energy of the liquid surface does the work #shorts #physics
Jee advanced physics hardest chapters 🛐 |#iitjee #jeeadvanced #iitmotivation #iitstatus #viralshorts
Jee advanced physics hardest chapters 🛐 |#iitjee #jeeadvanced #iitmotivation #iitstatus #viralshorts

Audio Book

Dive deep into the subject with an immersive audiobook experience.

Boundary Layer Formation

Chapter 1 of 5

🔒 Unlock Audio Chapter

Sign up and enroll to access the full audio experience

0:00
--:--

Chapter Content

When you have a flow passing over a plate, you can anticipate a viscous effect zone known as boundary layer formations. In this zone, there is a large gradient of velocity vectors, starting from 0 to a larger value.

Detailed Explanation

In fluid mechanics, when fluid flows over a surface, it does not move uniformly. The layer of fluid that is very close to the surface experiences friction, which causes the velocity to start at zero (because the fluid is stuck to the plate) and then increase as you move away from the surface. This zone of changing velocity is called the boundary layer. The thickness of the boundary layer determines how much of the flow is influenced by the surface.

Examples & Analogies

Think of this like how a river flows over rocks. The water close to the rocks moves very slowly (almost stationary), while the water a bit further away moves much faster. This change in speed is similar to the formation of a boundary layer.

Vorticity and Rotational Flows

Chapter 2 of 5

🔒 Unlock Audio Chapter

Sign up and enroll to access the full audio experience

0:00
--:--

Chapter Content

In regions where there are large velocity gradients and turbulence, fluid particles will start rotating, leading to the formation of vorticity.

Detailed Explanation

Vorticity is a measure of the rotation of fluid particles in a flow. It occurs when there's a change in the velocity of the fluid across space. When fluid particles closely interact (like in a turbulent boundary layer), they may start to spin around their center of mass due to these velocity changes. This results in eddies, which are small whirlpools of fluid that contribute to the overall motion and energy dissipation in the flow.

Examples & Analogies

Imagine a bucket of water that you swirl with a stick. The water near the stick moves slower, while the water further away moves faster and starts to form swirls. Like the water, fluid particles in a boundary layer experience forces that can cause them to rotate, resulting in vorticity.

Irrotational Flow

Chapter 3 of 5

🔒 Unlock Audio Chapter

Sign up and enroll to access the full audio experience

0:00
--:--

Chapter Content

Outside the boundary layers, fluid particles are moving with little to no rotation. This area is referred to as the irrotational zone.

Detailed Explanation

In fluid flow, areas without vorticity exist where the fluid particles move linearly without any rotational movement. These regions are characterized by smooth flow that doesn't induce twisting among the particles. When fluid is a good distance away from surfaces or obstacles, it can be modeled as having irrotational properties, meaning the flow can be simplified greatly when analyzing it.

Examples & Analogies

Consider the flow of air in a clear sky that is far away from obstacles. The air moves smoothly and uniformly, much like how a straight line represents a path that is not disturbed by any external forces.

Understanding Vorticity vs. Angular Rotation

Chapter 4 of 5

🔒 Unlock Audio Chapter

Sign up and enroll to access the full audio experience

0:00
--:--

Chapter Content

Vorticity is defined as the cross product between the gradient (del) and the velocity (V), while angular rotation refers to a different concept.

Detailed Explanation

Vorticity can be thought of as a mathematical way to describe how much a fluid is spinning at a given point, while angular rotation is more related to the overall rotation of an object. When discussing fluid dynamics, focusing on vorticity provides insights into how fluid particles interact and create complex flow patterns, such as turbulence and eddies.

Examples & Analogies

Imagine a rotating merry-go-round (angular rotation) versus a single leaf swirling in the air due to wind (vorticity). The merry-go-round has a defined center and spins around it, while the leaf's spin is more chaotic and depends on multiple local influences — akin to how vorticity works in fluid motion.

Visualizing Rotational vs. Irrotational Flow

Chapter 5 of 5

🔒 Unlock Audio Chapter

Sign up and enroll to access the full audio experience

0:00
--:--

Chapter Content

Visualizing figures depicting rotational and irrotational flows clarifies the difference between them.

Detailed Explanation

It’s useful to visualize flows to understand the difference between rotational flows, which exhibit spinning around an axis, and irrotational flows, where such spins are absent. Visual aids can help establish a mental image of the mechanics at play, making the concepts more tangible and accessible.

Examples & Analogies

You can think of sitting in a Ferris wheel (irrotational) — although you are moving in a circle, you aren’t spinning on your own axis — compared to going on a carousel where you're experiencing a rotation around the center (rotational). This distinction illustrates the separate behaviors of fluid flows in different contexts.

Key Concepts

  • Vorticity: Indicates the rotation of fluid particles and is calculated as the curl of the velocity field.

  • Boundary Layer: A thin region near surfaces where the effects of viscosity are dominant, leading to velocity gradients.

  • Rotational Flow: A type of flow characterized by the rotation of fluid particles.

  • Irrotational Flow: Fluid flow where velocity remains constant and no particle rotation occurs.

Examples & Applications

The flow of air around an airplane wing creates vorticity that contributes to lift.

Circular water movement in a whirlpool is an example of rotational flow.

Air moving uniformly over a flat surface is an example of irrotational flow.

Memory Aids

Interactive tools to help you remember key concepts

🎵

Rhymes

Vorticity spins like a wheel, in flows where chaos is real.

📖

Stories

Imagine a rollercoaster – the irrotational track smoothly guides, while the spins and loops showcase vorticity.

🧠

Memory Tools

Remember 'VBL-RI' for Vorticity, Boundary Layer, Rotational, Irrotational.

🎯

Acronyms

Use 'RIV' for Recall

Irrotational Velocity means no rotation.

Flash Cards

Glossary

Vorticity

A measure of the local rotation in a fluid flow, defined as the curl of the velocity vector.

Boundary Layer

The thin layer of fluid near a solid boundary where viscous effects are significant.

Rotational Flow

Flow in which fluid particles have angular momentum and exhibit rotation.

Irrotational Flow

Flow where fluid particles do not experience rotation, typically characterized by a constant velocity field.

Reference links

Supplementary resources to enhance your learning experience.