Assumptions Behind Boundary Layer Equations - 12.3.1 | 12. Boundary Layer Approximation II | Fluid Mechanics - Vol 3
Students

Academic Programs

AI-powered learning for grades 8-12, aligned with major curricula

Professional

Professional Courses

Industry-relevant training in Business, Technology, and Design

Games

Interactive Games

Fun games to boost memory, math, typing, and English skills

Assumptions Behind Boundary Layer Equations

12.3.1 - Assumptions Behind Boundary Layer Equations

Enroll to start learning

You’ve not yet enrolled in this course. Please enroll for free to listen to audio lessons, classroom podcasts and take practice test.

Practice

Interactive Audio Lesson

Listen to a student-teacher conversation explaining the topic in a relatable way.

Introduction to Boundary Layers

🔒 Unlock Audio Lesson

Sign up and enroll to listen to this audio lesson

0:00
--:--
Teacher
Teacher Instructor

Good morning everyone! Today we will discuss boundary layer theory. Can anyone tell me what a boundary layer is?

Student 1
Student 1

Isn't it the area where the fluid's velocity changes from zero at the surface to the free stream velocity?

Teacher
Teacher Instructor

Exactly! The boundary layer forms due to the no-slip condition at solid surfaces. Remember, the thickness of this layer varies depending on the flow conditions.

Student 2
Student 2

What's the significance of knowing the boundary layer thickness?

Teacher
Teacher Instructor

Good question! Knowing the boundary layer thickness helps us understand drag forces, skin friction, and flow characteristics around structures.

Student 3
Student 3

So how does the Reynolds number factor into this?

Teacher
Teacher Instructor

Great point! The Reynolds number helps determine the nature of the flow. If it's less than 10^5, the flow is typically laminar, while above 3×10^6 indicates turbulent flow.

Teacher
Teacher Instructor

To remember this: 'LRT' - Laminar is less Than 10^5 and Turbulent is above 3×10^6!

Teacher
Teacher Instructor

In summary, the boundary layer is crucial for analyzing flow dynamics and reducing drag. Let's move on to the next topic!

Assumptions in Boundary Layer Theory

🔒 Unlock Audio Lesson

Sign up and enroll to listen to this audio lesson

0:00
--:--
Teacher
Teacher Instructor

Now, let's dive into the assumptions that underpin the boundary layer equations. What do you think is the first assumption?

Student 4
Student 4

Maybe that we're working under steady flow conditions?

Teacher
Teacher Instructor

Correct! Steady flow implies the fluid properties at a point do not change with time, which simplifies our analysis significantly.

Student 1
Student 1

Are we also ignoring gravity effects?

Teacher
Teacher Instructor

Exactly! In a thin boundary layer, inertia forces overshadow gravity, enabling us to neglect it.

Student 2
Student 2

How do we ensure that we are focusing on the right terms in the equations?

Teacher
Teacher Instructor

We use dimensional analysis! By non-dimensionalizing our equations, we can identify which terms are significant and simplify the equations accordingly.

Teacher
Teacher Instructor

To help remember this, think 'FINE' - Flow is steady, Inertia dominates over gravity, Non-dimensionalization is key, and Evaluate assumptions!

Teacher
Teacher Instructor

So, in summary, these assumptions streamline the derivation of the boundary layer equations from the Navier-Stokes equations.

Pressure Gradients in Boundary Layers

🔒 Unlock Audio Lesson

Sign up and enroll to listen to this audio lesson

0:00
--:--
Teacher
Teacher Instructor

Next, let's talk about pressure gradients in the boundary layer. How are they treated in our analysis?

Student 3
Student 3

Are they considered uniform across the thickness?

Teacher
Teacher Instructor

Yes! In the boundary layer approximation, we assume the pressure does not change across the thickness, making it almost constant.

Student 4
Student 4

So, does that mean if we vary the pressure only in the x-direction?

Teacher
Teacher Instructor

That's right! We conclude the pressure gradient in the y-direction is negligible, simplifying our equations further.

Student 2
Student 2

How does this relate to calculating drag forces on surfaces?

Teacher
Teacher Instructor

Understanding pressure gradient effects is fundamental in finding drag forces, as they directly affect the flow behavior near surfaces.

Teacher
Teacher Instructor

To recap, we find pressure gradients constant in the y-direction helps us simplify our equations and focus on shear forces instead.

Practical Applications of Boundary Layer Theory

🔒 Unlock Audio Lesson

Sign up and enroll to listen to this audio lesson

0:00
--:--
Teacher
Teacher Instructor

To wrap up our discussion, how do engineers utilize boundary layer theory in real-world applications?

Student 1
Student 1

It must help design vehicles? Knowing boundary layers helps reduce drag!

Teacher
Teacher Instructor

Exactly! Designers optimize shapes to minimize drag using boundary layer principles.

Student 3
Student 3

Do we also use it for structures like buildings?

Teacher
Teacher Instructor

Yes! Understanding airflow around structures leads to better ventilation and durability.

Student 4
Student 4

So, from aircraft to buildings, these concepts are truly vital?

Teacher
Teacher Instructor

Absolutely! Their practical importance cannot be overstated, which is why we study them so thoroughly.

Teacher
Teacher Instructor

Today, we reviewed boundary layers, assumptions, pressure gradients, and practical applications. Keep these concepts in mind for your future projects!

Introduction & Overview

Read summaries of the section's main ideas at different levels of detail.

Quick Overview

The section discusses the assumptions underlying the boundary layer equations in fluid mechanics, focusing on their significance and practical applications.

Standard

This section highlights the foundational assumptions that lead to the derivation of boundary layer equations from the Navier-Stokes equations, emphasizing the laminar flow characteristics, Reynolds number significance, and the simplifications made in analysis. It also explores the engineering relevance of these concepts.

Detailed

Assumptions Behind Boundary Layer Equations

In fluid mechanics, boundary layer theory is vital for understanding flows near solid surfaces. The assumptions behind boundary layer equations simplify the analysis of the complex Navier-Stokes equations. Here are the key aspects discussed:

  1. Boundary Layer Concept: The boundary layer forms when fluid flows past a solid object, leading to varying velocity profiles. The layer has thickness defined by where the flow velocity approaches the free stream velocity.
  2. Laminar vs. Turbulent Flow: The transition of flow behavior from laminar (for Reynolds numbers less than 10^5) to turbulence (greater than 3×10^6) is crucial for deriving boundary layer characteristics.
  3. Steady Flow Assumption: The analysis often assumes steady flow, simplifying equations by neglecting unsteady terms.
  4. Neglect of Gravity Forces: Gravity effects are usually small compared to inertial forces within thin boundary layers, allowing for their neglect in most cases.
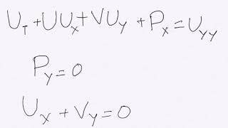
  5. Dimensional Analysis and Non-Dimensionalization: Key to the simplification process is normalization of variables to determine which terms are significant, based on their order of magnitude. This leads to the conclusion that in boundary layers, pressure gradients are nearly constant, allowing the focus on shear stresses and flow dynamics.

This foundational knowledge allows engineers to calculate important parameters like wall shear stress and flow separation, instrumental in designing various structures like aircraft and automobiles.

Youtube Videos

Lec-33 Boundary Layer Theory and Applications
Lec-33 Boundary Layer Theory and Applications
Lec 33:  Boundary Layer Approximation III
Lec 33: Boundary Layer Approximation III
Boundary Layer Theory - Introduction
Boundary Layer Theory - Introduction
Prandtl’s boundary layer equation
Prandtl’s boundary layer equation
Lecture32_PartA: Boundary Layer-Assumptions, Equations(Fluid Mech & Rate Procs-Sanjay Mittal,IITK)
Lecture32_PartA: Boundary Layer-Assumptions, Equations(Fluid Mech & Rate Procs-Sanjay Mittal,IITK)
Lecture 24 : Introduction to Boundary Layer Theory
Lecture 24 : Introduction to Boundary Layer Theory
Prandtl's boundary layer equation in fluid mechanics
Prandtl's boundary layer equation in fluid mechanics
What is a Boundary Layer? | Cause of Boundary Layer Formation | Types and Impact of Boundary Layers
What is a Boundary Layer? | Cause of Boundary Layer Formation | Types and Impact of Boundary Layers
Fluid Mechanics Lesson: Specific Gravity, Pressure in the Fluids & Pascal's Principle
Fluid Mechanics Lesson: Specific Gravity, Pressure in the Fluids & Pascal's Principle
Introductory Fluid Mechanics L20 p2 - The Boundary Layer Equations
Introductory Fluid Mechanics L20 p2 - The Boundary Layer Equations

Audio Book

Dive deep into the subject with an immersive audiobook experience.

Introduction to Boundary Layers and Their Importance

Chapter 1 of 5

🔒 Unlock Audio Chapter

Sign up and enroll to access the full audio experience

0:00
--:--

Chapter Content

Today, I will talk about boundary layer equations, which are approximations of the basic Navier-Stokes equations. It is essential to understand the utility of boundary layers in fluid mechanics, as it helps calculate wall shear stress and approximates flow behavior near surfaces.

Detailed Explanation

The boundary layer concept helps simplify the analysis of fluid flow past surfaces, such as flat plates or airfoils. Since fluids are viscous, the interaction between the fluid and solid surfaces affects the flow. By focusing on the boundary layer, which is the thin region near the surface where the effects of viscosity are significant, we can approximate the flow conditions without complex calculations involving the entire flow field.

Examples & Analogies

Think of a boundary layer like a thin layer of jam spread on a piece of toast. The jam sticks closely to the surface, just as the fluid's behavior near the surface is influenced heavily by viscosity. If you’re trying to evaluate how the jam affects the taste (similar to how we analyze fluid flow), it helps to understand only that sticky layer rather than the whole jar of jam.

Establishing the Flow Conditions

Chapter 2 of 5

🔒 Unlock Audio Chapter

Sign up and enroll to access the full audio experience

0:00
--:--

Chapter Content

In our analysis, we assume a steady flow regime. The local accelerations and gravitational forces are neglected in the boundary layer equations, focusing primarily on the viscous effects within the flow.

Detailed Explanation

Assuming steady flow simplifies the equations significantly. Without localized changes in velocity or elevation (gravity) affecting our calculations, we can concentrate on the critical factors like viscous forces acting in the boundary layer. This means we don't consider how the flow might change with time, allowing us to derive simpler equations.

Examples & Analogies

Imagine driving in a steady car on a highway. If you think about every bump and dip on the road, you could easily get distracted and confused. Instead, if you keep a steady speed, you can focus on the journey rather than the little changes in elevation, similar to how we simplify our focus to the effective factors in boundary layer analysis.

Order of Magnitude Analysis

Chapter 3 of 5

🔒 Unlock Audio Chapter

Sign up and enroll to access the full audio experience

0:00
--:--

Chapter Content

We conduct an order of magnitude analysis to determine which terms in the Navier-Stokes equations dominate and which can be neglected. This helps in simplifying our boundary layer equations.

Detailed Explanation

This analysis involves comparing the sizes (magnitudes) of different physical quantities, like velocity, pressure, and viscosity, to identify which influences the behavior of the flow most significantly. By understanding the relative sizes of these terms, we can simplify the equations, removing less significant factors and focusing on those that substantially affect the flow.

Examples & Analogies

Consider preparing a recipe. If you're making a giant cake but only have a tiny pinch of salt compared to the massive amount of flour and sugar, you can ignore the salt's impact while focusing on the more substantial ingredients. This is similar to how we assess which terms in our flow equations can be neglected based on their significance.

Neglecting Non-Dominant Forces

Chapter 4 of 5

🔒 Unlock Audio Chapter

Sign up and enroll to access the full audio experience

0:00
--:--

Chapter Content

In the boundary layer, the pressure gradient across the layer is treated as negligible, indicating that pressure does not change significantly across the thickness of the layer.

Detailed Explanation

We posit that within the thin boundary layer, pressure remains approximately constant. This assumption stems from the observations that any variations in pressure across the layer don’t have considerable effects on the calculations of shear stress and velocity. Thus, for most analytical purposes, this simplification holds true.

Examples & Analogies

If you think of a dense crowd at a concert where the majority of people are tightly packed in one area, the pressure felt by someone in the crowd won’t change dramatically irrespective of where they are standing because everyone is shoved together. Likewise, in our boundary layers, pressure remains quite constant across its thickness.

Conclusion

Chapter 5 of 5

🔒 Unlock Audio Chapter

Sign up and enroll to access the full audio experience

0:00
--:--

Chapter Content

Overall, the assumptions behind boundary layer equations, such as neglecting gravity and local accelerations, allow scientists and engineers to simplify fluid flow analysis effectively.

Detailed Explanation

By focusing on these simplified assumptions, we can derive useful equations that yield significant results for practical applications in engineering, thereby making complex fluid dynamics manageable. These approximations are pivotal for developing tools in computational fluid dynamics that engineers can use in various designs.

Examples & Analogies

It’s like using a simplified map when navigating a complex city. Instead of getting lost in every street detail, the simplified map highlights major routes, making it easier to plan your trip efficiently. In fluid mechanics, boundary layer assumptions similarly help us navigate the complexity of fluid flows.

Key Concepts

  • Boundary Layer: The fluid layer affected by viscosity near a solid surface.

  • Reynolds Number: A dimensionless number indicating flow characteristics.

  • Steady Flow: Assumption that fluid properties remain constant with time.

  • No-Slip Condition: Fluid velocity at the surface is equal to that of the surface.

  • Pressure Gradient: The rate at which pressure changes in a fluid.

Examples & Applications

When analyzing airflow over an airplane wing, the boundary layer helps predict lift and drag.

In designing vehicles, engineers consider boundary layer effects to improve fuel efficiency and performance.

Memory Aids

Interactive tools to help you remember key concepts

🎵

Rhymes

Boundary layers form despite the tide, where viscosity and forces collide.

📖

Stories

Imagine a river flowing smoothly over a rock. Near the rock, the water slows down—this is the boundary layer, creating a peaceful zone where forces interact.

🧠

Memory Tools

Remember 'B-N-P' for Boundary Layer: No-Slip Condition and Pressure Gradient focus!

🎯

Acronyms

Use ‘B-L-A-P’ to recall Boundary Layer, Assumptions, Laminar versus Turbulent, Pressure Gradient.

Flash Cards

Glossary

Boundary Layer

The layer of fluid in the immediate vicinity of a bounding surface where the effects of viscosity are significant.

Laminar Flow

A flow regime characterized by smooth and orderly fluid motion, typically occurring at low Reynolds numbers.

Turbulent Flow

A chaotic flow regime characterized by vortices, eddies, and apparent randomness, typically at high Reynolds numbers.

Reynolds Number

A dimensionless quantity that measures the ratio of inertial forces to viscous forces within a fluid, indicating flow regime.

NoSlip Condition

The condition at the boundary where the fluid velocity is equal to the boundary surface velocity, leading to zero relative velocity.

Pressure Gradient

Change in pressure per unit distance in a direction within a fluid medium.

Reference links

Supplementary resources to enhance your learning experience.