Eigenvalues And Eigenvectors Of Linear Transformations (28.12) - Linear Transformations
Students

Academic Programs

AI-powered learning for grades 8-12, aligned with major curricula

Professional

Professional Courses

Industry-relevant training in Business, Technology, and Design

Games

Interactive Games

Fun games to boost memory, math, typing, and English skills

Eigenvalues and Eigenvectors of Linear Transformations

Eigenvalues and Eigenvectors of Linear Transformations

Enroll to start learning

You’ve not yet enrolled in this course. Please enroll for free to listen to audio lessons, classroom podcasts and take practice test.

Practice

Interactive Audio Lesson

Listen to a student-teacher conversation explaining the topic in a relatable way.

Introduction to Eigenvalues and Eigenvectors

🔒 Unlock Audio Lesson

Sign up and enroll to listen to this audio lesson

0:00
--:--
Teacher
Teacher Instructor

Today, we're diving into eigenvalues and eigenvectors of linear transformations. Can anyone tell me what they think an eigenvector is?

Student 1
Student 1

Is it a vector that gets scaled by a transformation?

Teacher
Teacher Instructor

Exactly! An eigenvector keeps its direction when a transformation is applied. If T is a linear transformation, we say T(v) = λv for some scalar λ. What do we call λ here?

Student 2
Student 2

The eigenvalue?

Teacher
Teacher Instructor

Correct! How would we find these eigenvalues mathematically?

Student 3
Student 3

By solving the characteristic equation, right?

Teacher
Teacher Instructor

Yes! The characteristic equation is det(A − λI) = 0. Solving that gives us the eigenvalues. Great job!

Teacher
Teacher Instructor

To summarize: An eigenvalue is a scalar that indicates how much the eigenvector is scaled during the transformation.

Finding Eigenvalues and Eigenvectors

🔒 Unlock Audio Lesson

Sign up and enroll to listen to this audio lesson

0:00
--:--
Teacher
Teacher Instructor

Let’s go through finding eigenvalues and eigenvectors with an example. Suppose we have a matrix A. Who remembers the first step?

Student 4
Student 4

We have to write the characteristic equation, right? Like det(A − λI) = 0?

Teacher
Teacher Instructor

Exactly! Once we compute that determinant, we can solve for λ. Then, how do we find the eigenvectors?

Student 1
Student 1

We substitute λ back into (A − λI)x = 0?

Teacher
Teacher Instructor

Correct! By solving this system, we find the eigenvectors associated with each eigenvalue. Let's try an example together next.

Teacher
Teacher Instructor

So remember: Eigenvalues are found from the characteristic equation, and eigenvectors are derived from solving the system using those eigenvalues.

Applications of Eigenvalues and Eigenvectors

🔒 Unlock Audio Lesson

Sign up and enroll to listen to this audio lesson

0:00
--:--
Teacher
Teacher Instructor

Now, let’s discuss why learning about eigenvalues and eigenvectors is important. Who can give me an example of where we use these in engineering?

Student 2
Student 2

Like in modal analysis for vibrations?

Teacher
Teacher Instructor

Exactly! Eigenvalues represent natural frequencies. What might be a consequence of ignoring this in design?

Student 3
Student 3

If the structure resonates at those frequencies, it can fail?

Teacher
Teacher Instructor

Right again! This is why understanding eigenvalues is crucial for stability analysis and stress analysis as well. They guide engineers in design to ensure safety.

Teacher
Teacher Instructor

Remember, applying these concepts practically is just as important as the theory itself.

Introduction & Overview

Read summaries of the section's main ideas at different levels of detail.

Quick Overview

This section introduces eigenvalues and eigenvectors, highlighting their relevance in scaling transformations and their significance in engineering applications.

Standard

Eigenvalues and eigenvectors are key concepts in linear transformations that help identify how vectors are scaled and their directions remain unchanged. This section explains how to find eigenvalues using the characteristic equation and discusses their importance in civil engineering, particularly in areas like modal analysis and stability analysis.

Detailed

Eigenvalues and Eigenvectors of Linear Transformations

Eigenvalues and eigenvectors play a crucial role in the study of linear transformations, particularly in understanding scaling effects. Given a linear transformation T: V → V, an eigenvector is defined as a non-zero vector v ∈ V for which the transformation results in a scalar multiple of itself, expressed mathematically as T(v) = λv, where λ is referred to as the eigenvalue corresponding to the eigenvector v. This relationship indicates that eigenvectors maintain their direction even if their magnitude is scaled by the eigenvalue.

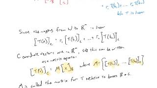
To find eigenvalues, one employs the characteristic equation, which is derived from the matrix representation A of the transformation T. The eigenvalues satisfy the equation: det(A − λI) = 0. The solutions to this equation yield the eigenvalues λ₁, λ₂, ..., λₙ. Subsequently, the corresponding eigenvectors can be determined by solving the linear system (A − λI)x = 0 for each eigenvalue.

The significance of these concepts in engineering extends to various applications, including:
- Modal Analysis: Eigenvalues represent the natural frequencies of vibration in structures, determining their response to dynamic loads.
- Principal Directions: In stress analysis, eigenvectors indicate principal stress directions, essential for design and failure analysis.
- Stability Analysis: The eigenvalues help assess the stability of equilibrium points in physical systems modeled by differential equations. Their real parts can indicate stability (negative real part) or instability (positive real part).

Thus, mastering eigenvalues and eigenvectors is fundamental for students and professionals working in fields requiring linear algebra applications, especially in engineering.

Youtube Videos

Eigenvectors and eigenvalues | Chapter 14, Essence of linear algebra
Eigenvectors and eigenvalues | Chapter 14, Essence of linear algebra
Eigenvectors and Linear Transformations
Eigenvectors and Linear Transformations
Eigenvalues and Eigenvectors of Linear Transformation
Eigenvalues and Eigenvectors of Linear Transformation
LINEAR ALGERBA|EIGEN VALUES AND EIGEN VECTORS|ONE SHOT|PRADEEP GIRI SIR
LINEAR ALGERBA|EIGEN VALUES AND EIGEN VECTORS|ONE SHOT|PRADEEP GIRI SIR
Eigenvalues and Eigenvectors | Properties and Important Result | Matrices
Eigenvalues and Eigenvectors | Properties and Important Result | Matrices
What eigenvalues and eigenvectors mean geometrically
What eigenvalues and eigenvectors mean geometrically
Linear Algebra Lecture 45 - How to find Eigenvalues and Eigenvectors of Linear Transformations
Linear Algebra Lecture 45 - How to find Eigenvalues and Eigenvectors of Linear Transformations
How to Find Eigenvalues & Eigenvectors | Engineering Mathematics-1 |Clear M-1 Exam Easily |RGPV 2025
How to Find Eigenvalues & Eigenvectors | Engineering Mathematics-1 |Clear M-1 Exam Easily |RGPV 2025
5.4 - Eigenvectors and Linear Transformations
5.4 - Eigenvectors and Linear Transformations
Linear Algebra – Eigenvalues & Eigenvectors | Concept | Basics | Applications
Linear Algebra – Eigenvalues & Eigenvectors | Concept | Basics | Applications

Audio Book

Dive deep into the subject with an immersive audiobook experience.

Introduction to Eigenvalues and Eigenvectors

Chapter 1 of 4

🔒 Unlock Audio Chapter

Sign up and enroll to access the full audio experience

0:00
--:--

Chapter Content

An important class of linear transformations are those that scale vectors instead of changing their direction.

Detailed Explanation

This chunk introduces the concept of eigenvalues and eigenvectors in linear transformations. It emphasizes that certain linear transformations scale vectors, meaning they change the length of the vector but preserve its direction. This property is significant because it helps identify how a transformation modifies vectors in a vector space without altering their orientation.

Examples & Analogies

Imagine a rubber band stretching. When you pull on it, its length increases (scaling) but it still points in the same direction. This is similar to how an eigenvector behaves under a linear transformation; it maintains its direction while its length changes.

Definition of Eigenvectors and Eigenvalues

Chapter 2 of 4

🔒 Unlock Audio Chapter

Sign up and enroll to access the full audio experience

0:00
--:--

Chapter Content

Given a linear transformation T:V →V, a non-zero vector v∈V is called an eigenvector of T if: T(v)=λv for some scalar λ∈F, which is called the eigenvalue corresponding to v.

Detailed Explanation

In this chunk, we define what eigenvectors and eigenvalues are. An eigenvector, represented as 'v', is a vector that, when transformed by the linear transformation 'T', results in a new vector that is a scaled version of 'v'. The scalar 'λ' is the eigenvalue that quantifies this scaling. This relationship indicates that instead of changing direction, the transformation merely stretches or shrinks the vector.

Examples & Analogies

Consider a light beam traveling along a straight path. If you increase the brightness of the beam (analogous to scaling), it still travels in the same line (the direction). Here, the brightness change is like the eigenvalue, showing how much the intensity (length of the vector) changes while the direction of the beam (eigenvector) remains constant.

Finding Eigenvalues and Eigenvectors

Chapter 3 of 4

🔒 Unlock Audio Chapter

Sign up and enroll to access the full audio experience

0:00
--:--

Chapter Content

Let A be the matrix of the linear transformation T. The eigenvalues satisfy: det(A−λI)=0. This is called the characteristic equation. Solving it gives the eigenvalues λ1, λ2, …, λn. For each i, the eigenvectors are found by solving: (A−λiI)x=0.

Detailed Explanation

This chunk explains the method for determining eigenvalues and eigenvectors mathematically. To find eigenvalues, we utilize the characteristic equation derived from the determinant of the matrix 'A' minus 'λ' times the identity matrix 'I'. Setting this determinant to zero allows us to find the possible eigenvalues. Once we have the eigenvalues, we can substitute each one back into the equation (A−λI)x=0 to find the corresponding eigenvectors.

Examples & Analogies

Think of eigenvalues and eigenvectors like finding special angles and corresponding distances on a map. The characteristic equation is like determining which angles will get you the most straightforward paths (eigenvalues), and once you have those angles, you mark the exact positions (eigenvectors) on the map where you'd land.

Importance of Eigenvalues and Eigenvectors in Civil Engineering

Chapter 4 of 4

🔒 Unlock Audio Chapter

Sign up and enroll to access the full audio experience

0:00
--:--

Chapter Content

Eigenvalues and eigenvectors have various applications: 1. Modal Analysis: In structural dynamics, eigenvalues represent natural frequencies of vibration. 2. Principal Directions: In stress analysis, eigenvectors correspond to principal stress directions. 3. Stability Analysis: Eigenvalues indicate the stability of equilibrium in systems modeled by differential equations.

Detailed Explanation

In this chunk, we explore how eigenvalues and eigenvectors are utilized in civil engineering. Modal analysis uses eigenvalues to determine the natural frequencies at which structures vibrate, which is crucial for ensuring that buildings can withstand dynamic forces. Eigenvectors help identify principal stress directions, which are vital for understanding how materials will behave under loads. Furthermore, eigenvalues are key in stability analysis, providing insight into the equilibrium states of structures governed by differential equations.

Examples & Analogies

Imagine a bridge swaying in the wind. Engineers calculate the natural frequencies (eigenvalues) to ensure that the bridge doesn’t sway too much, avoiding disaster. The directions in which this swaying is most pronounced (eigenvectors) help them understand where to reinforce the structure for maximum stability and safety.

Key Concepts

  • Eigenvalue: The scalar that indicates how much an eigenvector is stretched or compressed during a transformation.

  • Eigenvector: A vector that remains in the same direction during the application of a linear transformation.

  • Characteristic Equation: A determinant-based equation that is solved to find eigenvalues.

  • Linear Transformation: A function that maps vectors while preserving addition and scalar multiplication.

Examples & Applications

If a 2x2 matrix A represented a rotation, then any vector aligned with an eigenvector will keep its direction while potentially changing in magnitude based on the eigenvalue.

In structural analysis, the eigenvalues of a stiffness matrix can indicate the natural frequencies of vibration, influencing the design and safety measures of building structures.

Memory Aids

Interactive tools to help you remember key concepts

🎵

Rhymes

Eigenvalues, eigenvectors, scaling all around - keeping the essence, without making a sound.

📖

Stories

Imagine a traveler (the eigenvector) who carries a special badge (the eigenvalue) that tells him how much to stretch but never points him in a new direction.

🧠

Memory Tools

E.V.I. - Eigenvalues provide the scale, Vectors keep the trail, Independence in direction, that is their tale.

🎯

Acronyms

E.V.E.

EigenValue = Eigenvector * Scalar.

Flash Cards

Glossary

Eigenvalue

A scalar λ such that T(v) = λv for some non-zero vector v, representing the scaling factor of the eigenvector.

Eigenvector

A non-zero vector v that remains in the same direction when a linear transformation is applied.

Characteristic Equation

The equation det(A − λI) = 0 used to find the eigenvalues of a matrix A.

Linear Transformation

A mapping T: V → W between two vector spaces that preserves vector addition and scalar multiplication.

Reference links

Supplementary resources to enhance your learning experience.