Linear And Nonlinear Pdes (16.5) - Partial Differential Equations – Basic Concepts
Students

Academic Programs

AI-powered learning for grades 8-12, aligned with major curricula

Professional

Professional Courses

Industry-relevant training in Business, Technology, and Design

Games

Interactive Games

Fun games to boost memory, math, typing, and English skills

Linear and Nonlinear PDEs

Linear and Nonlinear PDEs

Enroll to start learning

You’ve not yet enrolled in this course. Please enroll for free to listen to audio lessons, classroom podcasts and take practice test.

Practice

Interactive Audio Lesson

Listen to a student-teacher conversation explaining the topic in a relatable way.

Introduction to Linear PDEs

🔒 Unlock Audio Lesson

Sign up and enroll to listen to this audio lesson

0:00
--:--
Teacher
Teacher Instructor

Let's start with linear PDEs. Can anyone tell me what makes a PDE linear?

Student 1
Student 1

Does it mean that the dependent variable and its derivatives appear only to the first power?

Teacher
Teacher Instructor

Exactly, great point! This means no products or higher powers of the variables or derivatives. For example, the equation \( \frac{\partial u}{\partial t} + k \frac{\partial^2 u}{\partial x^2} = 0 \) is linear. Let's remember this with the acronym 'LDE', which stands for Linear Differential Equation.

Student 2
Student 2

Can you give another example of a linear PDE?

Teacher
Teacher Instructor

Sure! Another example is \( \frac{\partial^2 u}{\partial x^2} + \frac{\partial u}{\partial y} = 5 \). It's linear because all terms are strictly to the first degree.

Student 3
Student 3

What about the solution methods for these equations?

Teacher
Teacher Instructor

Good question! Solutions for linear PDEs often involve superposition, meaning we can add solutions together. Remember, linearity allows us to handle these equations systematically.

Understanding Nonlinear PDEs

🔒 Unlock Audio Lesson

Sign up and enroll to listen to this audio lesson

0:00
--:--
Teacher
Teacher Instructor

Now let's shift our focus to nonlinear PDEs. Who can give me the defining feature of a nonlinear PDE?

Student 4
Student 4

I think they include terms that are not linear, like products of derivatives or powers.

Teacher
Teacher Instructor

Spot on! An example of a nonlinear PDE can be given as \( \left( \frac{\partial u}{\partial x} \right)^2 + \frac{\partial u}{\partial y} = 0 \). The term \( \left( \frac{\partial u}{\partial x} \right)^2 \) makes it nonlinear.

Student 1
Student 1

Why is this distinction important?

Teacher
Teacher Instructor

Great question! Nonlinear PDEs do not allow for superposition. This means that the methods to tackle them, such as numerical methods or specific ansatz, can be quite different from those used for linear PDEs.

Student 2
Student 2

How do we even approach solving these nonlinear equations?

Teacher
Teacher Instructor

We often rely on numerical methods or specific techniques devised for each unique case, as there's no one-size-fits-all strategy.

Introduction & Overview

Read summaries of the section's main ideas at different levels of detail.

Quick Overview

This section distinguishes between linear and nonlinear partial differential equations (PDEs), providing definitions and examples for each.

Standard

The section elaborates on the characteristics of linear and nonlinear PDEs. Linear PDEs feature dependent variables and their derivatives appearing to the first degree, while nonlinear PDEs encompass terms that include products or powers of these variables and derivatives. Examples are provided to clarify the distinctions.

Detailed

Linear and Nonlinear PDEs

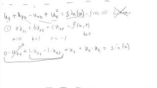
In this section, we explore the critical concepts of linear and nonlinear partial differential equations (PDEs). A linear PDE is defined as an equation where the dependent variable and all its derivatives appear in a linear manner. For instance, an example of a linear PDE is

\[ \frac{\partial u}{\partial t} + k \frac{\partial^2 u}{\partial x^2} = 0 \]

where the variable u and its derivatives are each to the first degree.

In contrast, a nonlinear PDE includes nonlinear terms, such as products or powers of the dependent variable or its derivatives. A classic example of a nonlinear PDE is

\[ \left( \frac{\partial u}{\partial x} \right)^2 + \frac{\partial u}{\partial y} = 0 \].

These distinctions are significant because the methods used to solve linear PDEs often differ significantly from those applied to nonlinear counterparts. Understanding whether a PDE is linear or nonlinear directly impacts the approaches taken for their solutions, which are foundational in the application of PDEs in diverse fields such as engineering and physical sciences.

Youtube Videos

Linear and Non Linear Partial Differential Equations | Semi Linear PDE | Quasi Linear PDE |LINEARPDE
Linear and Non Linear Partial Differential Equations | Semi Linear PDE | Quasi Linear PDE |LINEARPDE
How to check Linear and Non Linear Differential Equation EASY TECHNIQUE | Linear non linear DE
How to check Linear and Non Linear Differential Equation EASY TECHNIQUE | Linear non linear DE
How to tell Linear from Non-linear ODE/PDEs (including Semi-linear, Quasi-linear, Fully Nonlinear)
How to tell Linear from Non-linear ODE/PDEs (including Semi-linear, Quasi-linear, Fully Nonlinear)
🔴 M2 Unit 3 Partial Differential Equations | One Shot + PYQs Solved | BT-202 RGPV Maths 2 | 🔥
🔴 M2 Unit 3 Partial Differential Equations | One Shot + PYQs Solved | BT-202 RGPV Maths 2 | 🔥
Non Linear Partial Differential Equations Standard Form-I By GP Sir
Non Linear Partial Differential Equations Standard Form-I By GP Sir
Linear versus Nonlinear Differential Equations
Linear versus Nonlinear Differential Equations
Classifying PDE's as Linear, Semilinear, Quasilinear or Nonlinear
Classifying PDE's as Linear, Semilinear, Quasilinear or Nonlinear
But what is a partial differential equation?  | DE2
But what is a partial differential equation? | DE2
Classification of Second-Order PDE | Partial Differential Equation Example  & Concepts  by GP Sir
Classification of Second-Order PDE | Partial Differential Equation Example & Concepts by GP Sir
Linear and Non-Linear Differential Equation Concept | Differential Equation
Linear and Non-Linear Differential Equation Concept | Differential Equation

Audio Book

Dive deep into the subject with an immersive audiobook experience.

Definition of Linear PDEs

Chapter 1 of 2

🔒 Unlock Audio Chapter

Sign up and enroll to access the full audio experience

0:00
--:--

Chapter Content

• Linear PDE: The dependent variable and all its derivatives appear linearly. Example:
∂u ∂2u
=k
∂t ∂x2

Detailed Explanation

A linear PDE is characterized by the fact that the dependent variable, which is often denoted as 'u', and all of its derivatives, must only appear with a power of one. This means that there are no products of these quantities or any powers greater than one. The example provided shows a linear relationship as the equation involves the first derivative of 'u' with respect to time 't', and the second derivative with respect to 'x', combined linearly with a constant 'k'.

Examples & Analogies

Think of a linear relationship like a straight road. No matter how far you go, your path will always have the same slope, just like in a linear PDE where the derivatives influence the solution in a proportional way. For example, if the road represents temperature changes over time, then a linear equation would tell you that every degree change follows the same linear pattern.

Definition of Nonlinear PDEs

Chapter 2 of 2

🔒 Unlock Audio Chapter

Sign up and enroll to access the full audio experience

0:00
--:--

Chapter Content

• Nonlinear PDE: Involves nonlinear terms like products or powers of derivatives. Example:
(cid:18) ∂u(cid:19)2
∂u
+ =0
∂x ∂y

Detailed Explanation

A nonlinear PDE is defined by the presence of terms that involve products or higher powers of the dependent variable and its derivatives. In the provided example, the term (∂u/∂x)² indicates that the square of the first derivative with respect to x is part of the equation, which makes it nonlinear. This nonlinearity leads to more complex behavior and interactions in the system being modeled.

Examples & Analogies

Imagine trying to predict how water flows in a river. If the conditions change (for example, the rain makes the river swell), the behavior of the water becomes unpredictable — similar to how nonlinear PDEs behave. You might think of nonlinear relationships like a winding, uneven hiking trail that changes direction frequently as opposed to a straight road. The complexities found in nonlinear equations mimic the unpredictable patterns we observe in nature.

Key Concepts

  • Linear PDE: Defined by linearity in its dependent variable and derivatives.

  • Nonlinear PDE: Defined by the presence of nonlinear terms in the equation.

  • Superposition: A fundamental property utilized in solving linear PDEs.

Examples & Applications

The equation \( \frac{\partial u}{\partial t} + k \frac{\partial^2 u}{\partial x^2} = 0 \) is a linear PDE as it maintains linearity.

The equation \( \left( \frac{\partial u}{\partial x} \right)^2 + \frac{\partial u}{\partial y} = 0 \) is a nonlinear PDE because of the squared term.

Memory Aids

Interactive tools to help you remember key concepts

🎵

Rhymes

Linear means first degree, nonlinear goes to the power or makes pairs, keep it clear!

📖

Stories

Imagine a math wizard who can only wield his linear spells, but when he tries to mix them with nonlinear magic, chaos ensues and spells blend in strange ways!

🧠

Memory Tools

Remember 'L for Lines' for Linear and 'N for Nonsensical' for Nonlinear.

🎯

Acronyms

LDE – Linear Differential Equation, guiding you to remember all terms must be linear.

Flash Cards

Glossary

Linear PDE

A partial differential equation where the dependent variable and its derivatives appear linearly.

Nonlinear PDE

A partial differential equation that includes nonlinear terms such as products or powers of the dependent variable and its derivatives.

Superposition

A property of linear systems where the sum of two solutions is also a solution.

Reference links

Supplementary resources to enhance your learning experience.