Convective Acceleration - 8.4.2.2 | 8. Newton's Second Law | Fluid Mechanics - Vol 2
Students

Academic Programs

AI-powered learning for grades 8-12, aligned with major curricula

Professional

Professional Courses

Industry-relevant training in Business, Technology, and Design

Games

Interactive Games

Fun games to boost memory, math, typing, and English skills

Convective Acceleration

8.4.2.2 - Convective Acceleration

Enroll to start learning

You’ve not yet enrolled in this course. Please enroll for free to listen to audio lessons, classroom podcasts and take practice test.

Practice

Interactive Audio Lesson

Listen to a student-teacher conversation explaining the topic in a relatable way.

Introduction to Convective Acceleration

🔒 Unlock Audio Lesson

Sign up and enroll to listen to this audio lesson

0:00
--:--
Teacher
Teacher Instructor

Today, we will explore convective acceleration, an important concept in fluid dynamics. Can anyone tell me how acceleration might be defined in terms of velocity?

Student 1
Student 1

Isn't acceleration the change in velocity over time?

Teacher
Teacher Instructor

Exactly! Acceleration is indeed defined as the time derivative of velocity. Now, when we discuss fluids, acceleration isn't just due to time-varying speeds but also due to changes in the velocity field itself. This is where convective acceleration comes into play.

Student 2
Student 2

How does that work? Can you give an example?

Teacher
Teacher Instructor

Great question! Imagine fluid particles moving through a pipe where the flow speed changes at different points. As these particles move, they experience acceleration not just from speeding up or slowing down, but also because they are entering areas where the velocity is different. This spatial difference in velocity is termed convective acceleration.

Student 3
Student 3

So, it's like going through a wind tunnel where speed varies?

Teacher
Teacher Instructor

Exactly! You can think of it as a change in the airflow around you. This leads us to understand local versus convective acceleration. Local acceleration refers to changes in velocity at a fixed point, while convective acceleration relates to how the flow velocity varies in space. Does that make sense?

Student 4
Student 4

Yes, I think so. Can you summarize these two types?

Teacher
Teacher Instructor

Sure! Local acceleration is about how velocity changes at a specific point, and convective acceleration is about how moving through varying velocity fields affects acceleration. Together, they give a complete picture of how fluids behave. Great discussion!

Mathematical Representation

🔒 Unlock Audio Lesson

Sign up and enroll to listen to this audio lesson

0:00
--:--
Teacher
Teacher Instructor

Let’s dive into the mathematics behind convective acceleration. Can anyone remember what the Taylor series does?

Student 1
Student 1

It approximates functions using their derivatives at a point.

Teacher
Teacher Instructor

Correct! When we apply it to fluid dynamics, the Taylor series helps us express changes in velocity over time as well as in various spatial dimensions.

Student 2
Student 2

But how do we connect that to local and convective acceleration?

Teacher
Teacher Instructor

Good question! By considering a Taylor series of velocity functions with respect to space and time, we can segregate these accelerations mathematically, leading us to the equations that define both components of acceleration. It’s about understanding the role of position versus time.

Student 3
Student 3

So, the series helps us break down complex behaviors into simpler parts?

Teacher
Teacher Instructor

Yes, precisely! This breakdown is fundamental to apply physics' principles in real-world scenarios, such as aerospace or ocean currents.

Student 4
Student 4

Can we visualize that?

Teacher
Teacher Instructor

Absolutely! Using vector plots, we can illustrate how the different components of acceleration vary across a fluid flow. This visualization is crucial for comprehending fluid behavior under different conditions.

Eulerian and Lagrangian Perspectives

🔒 Unlock Audio Lesson

Sign up and enroll to listen to this audio lesson

0:00
--:--
Teacher
Teacher Instructor

Next, we'll discuss Eulerian and Lagrangian frameworks. Who can explain the difference?

Student 1
Student 1

Eulerian focuses on specific locations in space while Lagrangian follows individual particles.

Teacher
Teacher Instructor

Excellent! In Eulerian, we observe how a fluid's properties change at fixed points. In contrast, Lagrangian allows us to track the motion of specific fluid particles.

Student 2
Student 2

How does convective acceleration fit into both perspectives?

Teacher
Teacher Instructor

Great point! In the Eulerian approach, convective acceleration manifests as changes in velocity fields at various fixed points, while in Lagrangian, it involves how particles behave as they travel through these variable fields.

Student 3
Student 3

So, which approach is more useful?

Teacher
Teacher Instructor

It depends on the situation. Eulerian is often simpler for flow fields, while Lagrangian provides detailed insights about particle dynamics. Understanding both methods allows us to analyze fluid motion comprehensively.

Student 4
Student 4

Could we solve some equations next?

Teacher
Teacher Instructor

Absolutely! Let’s apply these concepts to practical problems to solidify our understanding of convective acceleration.

Real-World Applications

🔒 Unlock Audio Lesson

Sign up and enroll to listen to this audio lesson

0:00
--:--
Teacher
Teacher Instructor

Now that we've covered the fundamentals, let’s discuss some applications. Why do you think understanding convective acceleration is important?

Student 1
Student 1

I think it helps in designing better fluid systems like pipes or aircraft.

Teacher
Teacher Instructor

Exactly! In engineering, applying convective acceleration principles can optimize performance in various systems including hydraulic systems, weather modeling, and vehicle aerodynamics.

Student 2
Student 2

What about environmental systems?

Teacher
Teacher Instructor

Great thought! In environmental science, understanding how pollutants disperse in water bodies also relies on these principles. It helps predict the spread of contaminants.

Student 3
Student 3

Can we see real-time examples?

Teacher
Teacher Instructor

Certainly! Modern simulations using computational fluid dynamics (CFD) provide visual representations of flow and acceleration, allowing us to study complex fluid behaviors in real scenarios.

Student 4
Student 4

This is really interesting!

Teacher
Teacher Instructor

I'm glad you think so! The applications of convective acceleration are vast and vital for many industries. Always remember, the understanding of how fluids behave can lead to innovative solutions in engineering and environmental protection!

Introduction & Overview

Read summaries of the section's main ideas at different levels of detail.

Quick Overview

This section discusses convective acceleration in fluid dynamics, describing how it arises from velocity gradients and can be represented in terms of local and convective acceleration.

Standard

Convective acceleration results from the spatial variation of velocity in a flow field, leading to changes in acceleration at a point in a fluid. The section explains the breakdown of acceleration into local and convective components, using foundational concepts such as the Taylor series and material derivatives.

Detailed

Detailed Summary

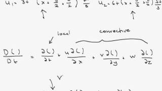
In fluid dynamics, the concept of convective acceleration is critical for understanding motion within a fluid. This section elaborates on how acceleration in a fluid is not merely due to time changes in velocity, but also due to changes in the velocity field itself across space. The section defines acceleration mathematically as the time derivative of velocity and discusses how this can be intricately linked to both local and convective acceleration.

The key takeaway is that acceleration can be expressed as:

  • Local Acceleration, which is the change in velocity at a specific point in a fluid over time.
  • Convective Acceleration, which occurs due to the movement of fluid particles through regions of different velocity, leading to changes in acceleration based on the spatial position of particles.

To further explain these concepts, the section utilizes Taylor series expansions to delineate particle-level behavior under Newtonian physics, emphasizing the importance of understanding the velocity gradients in three dimensions (x, y, z) as well as time contributions. By expressing acceleration in terms of vector calculus, and utilizing the del operator (also known as the gradient operator), the text lays the groundwork for depth in fluid mechanics, preparing students for complex applications in both Eulerian and Lagrangian frameworks.

Youtube Videos

Convective Acceleration Animation [Fluid Mechanics]
Convective Acceleration Animation [Fluid Mechanics]
Local and Convective Acceleration from Velocity Profiles
Local and Convective Acceleration from Velocity Profiles
Fluid Kinematics -10 [Solved problems on Total Acceleration, temporal and convective acceleration]
Fluid Kinematics -10 [Solved problems on Total Acceleration, temporal and convective acceleration]
Local and convective acceleration equations. fluid mechanics. fluid kinematics
Local and convective acceleration equations. fluid mechanics. fluid kinematics
Local and convective acceleration. Equations II velocity, acceleration, steady flow,  Fluid Mechanic
Local and convective acceleration. Equations II velocity, acceleration, steady flow, Fluid Mechanic
Difference between Local & Convective Acceleration | Fluid Mechanics for GATE & ESE 2024 ME/CE Exam
Difference between Local & Convective Acceleration | Fluid Mechanics for GATE & ESE 2024 ME/CE Exam
2 PM- GATE ME Fluid Mechanics Classes 2022 | Local & Convective Acceleration | GATE Civil | Part 1
2 PM- GATE ME Fluid Mechanics Classes 2022 | Local & Convective Acceleration | GATE Civil | Part 1
Fluid Kinematics - 4 [Total acceleration , temporal  and convective acceleration in fluid flows]
Fluid Kinematics - 4 [Total acceleration , temporal and convective acceleration in fluid flows]
#2 ACCELERATION OF FLUID - FLUID KINEMATICS | LOCAL - CONVECTIVE | SHORT VIDEO SERIES GATE ESE IES
#2 ACCELERATION OF FLUID - FLUID KINEMATICS | LOCAL - CONVECTIVE | SHORT VIDEO SERIES GATE ESE IES
Introductory Fluid Mechanics L1 p7:  Example Problem - Acceleration Eulerian
Introductory Fluid Mechanics L1 p7: Example Problem - Acceleration Eulerian

Audio Book

Dive deep into the subject with an immersive audiobook experience.

Understanding Acceleration at a Particle Level

Chapter 1 of 5

🔒 Unlock Audio Chapter

Sign up and enroll to access the full audio experience

0:00
--:--

Chapter Content

Now, let us look at the particle levels, if I had to find out what is the acceleration of the fluid particles? Is nothing else as a time derivative of velocity of the particles.

Detailed Explanation

At the particle level, acceleration is defined as the change in velocity over time. This means that to understand how fast a particle is accelerating, we look at how its velocity changes over time. In simpler terms, if a particle moves faster or slower, that change is what we measure as acceleration.

Examples & Analogies

Think of a car accelerating from a stoplight. When the light turns green, the car starts from a complete stop and speeds up over time. The change in how quickly the car is going, from being stopped to speeding up, represents its acceleration.

Local Components of Acceleration

Chapter 2 of 5

🔒 Unlock Audio Chapter

Sign up and enroll to access the full audio experience

0:00
--:--

Chapter Content

At the particle levels, you will have these velocities with a variability in positions and the time because of that though when you define a; derivative with respect to time you will have a local component.

Detailed Explanation

When we talk about acceleration, we must consider that it can vary based on the position of the particle in space and over time. This means that if we were to look at different areas, the acceleration of fluid particles could be different, creating what we call 'local acceleration' based on their specific positions and how they change over time.

Examples & Analogies

Imagine a group of runners on a track. Some runners may start earlier or later depending on their position on the track. The acceleration of each runner might be different based on where they are at any given time, just like particles in a fluid.

Taylor Series and Accelerations with Multiple Variables

Chapter 3 of 5

🔒 Unlock Audio Chapter

Sign up and enroll to access the full audio experience

0:00
--:--

Chapter Content

This is nothing else if you are considering is a 2 variables like I just discussed you the Taylor series; in this case, I have a Taylor series of 4 variables: the x, y, z, and the t.

Detailed Explanation

The Taylor series is a mathematical tool that allows us to approximate functions. In this context, it helps us understand fluid motion by expanding the variables affecting particle acceleration (x, y, z, and time) into a series. This means we can express complex fluid behaviors in terms of simpler polynomial functions, making it easier to calculate things like acceleration.

Examples & Analogies

Imagine a series of steps leading up a hill. Each step allows you to go higher, just as a Taylor series allows us to build up the complexity of a fluid’s movement in manageable chunks. Just like taking one step at a time makes climbing easier, using polynomial approximations makes understanding fluid motion simpler.

Local and Convective Acceleration

Chapter 4 of 5

🔒 Unlock Audio Chapter

Sign up and enroll to access the full audio experience

0:00
--:--

Chapter Content

If you look at this way, what is that? ... two components; one is local acceleration component and the other is convective acceleration.

Detailed Explanation

When we analyze fluid movement, we can divide acceleration into two parts: local acceleration, which is the change in velocity at a fixed point over time, and convective acceleration, which accounts for changes in velocity due to the particle's movement through a velocity field. Combining these offers a complete picture of how particles move within the fluid.

Examples & Analogies

Consider a river. A leaf floating on the river experiences local acceleration as the water flows past it at a constant speed (local), while it also travels downriver, increasing its position along the river due to the current (convective). Both speeds contribute to how fast and where the leaf moves.

Mathematical Representation of Acceleration

Chapter 5 of 5

🔒 Unlock Audio Chapter

Sign up and enroll to access the full audio experience

0:00
--:--

Chapter Content

So, mathematically we can represent the local accelerations and the convective acceleration component.

Detailed Explanation

Mathematically, we can express both local and convective accelerations using derivatives. Local acceleration can be viewed simply as the change in velocity at a point, while convective acceleration includes the gradients of the velocity field, capturing more complex movement as particles move through different areas of velocity.

Examples & Analogies

Think of a weather map showing wind speeds at different locations. If one area has higher wind speed, it’s as if the leaves in that part of a park are being pushed harder compared to others. The math is like interpreting this data to predict how fast the leaves will be blown away based on both local wind speed and the ‘push’ from surrounding winds.

Key Concepts

  • Convective Acceleration: This involves understanding how acceleration changes due to velocity variations in space rather than time alone.

  • Local Acceleration: The acceleration occurring at a point in a fluid, due to a change in the velocity of that fluid over time.

  • Eulerian and Lagrangian Frameworks: Two perspectives for analyzing fluid motion, one focusing on fixed points and the other on moving particles.

  • Taylor Series: A mathematical tool used to approximate fluid behavior under varying conditions.

Examples & Applications

In a pipe flowing from high pressure to low pressure, fluid particles will accelerate differently based on their position in the pipe due to varying velocity fields.

During a storm, the air particles experience convective acceleration as they move through areas of varying wind speeds, which can lead to turbulence.

Memory Aids

Interactive tools to help you remember key concepts

🎵

Rhymes

In the fluid's dance, flows change their pace, convective moves take the lead in the race.

📖

Stories

A stream of water in a park experiences pressure changes as it flows through different terrains, showing how its speed and direction continuously adapt to new environments, illustrating local and convective acceleration.

🧠

Memory Tools

L-C for Local and Convective: Local means ‘time’ changes at a point, Convective is about ‘space’ flow, just remember L-C!

🎯

Acronyms

E-L Axis for Eulerian & Lagrangian

E

for observing flows at a point

L

for following the flow's path.

Flash Cards

Glossary

Convective Acceleration

Acceleration resulting from the movement of fluid particles through varying velocity gradients in a flow field.

Local Acceleration

The change in velocity of a fluid particle at a fixed location over time.

Eulerian Perspective

An approach to fluid dynamics focusing on changes in fluid properties at fixed points in space.

Lagrangian Perspective

An approach to fluid dynamics following the trajectory of individual fluid particles.

Taylor Series

A mathematical representation of a function expressed as an infinite sum of terms calculated from the values of its derivatives at a single point.

Reference links

Supplementary resources to enhance your learning experience.