The Rank of a Matrix and Linear Independence - 23.10 | 23. Linear Independence | Mathematics (Civil Engineering -1)
Students

Academic Programs

AI-powered learning for grades 8-12, aligned with major curricula

Professional

Professional Courses

Industry-relevant training in Business, Technology, and Design

Games

Interactive Games

Fun games to boost memory, math, typing, and English skills

The Rank of a Matrix and Linear Independence

23.10 - The Rank of a Matrix and Linear Independence

Enroll to start learning

You’ve not yet enrolled in this course. Please enroll for free to listen to audio lessons, classroom podcasts and take practice test.

Practice

Interactive Audio Lesson

Listen to a student-teacher conversation explaining the topic in a relatable way.

Understanding Matrix Rank

🔒 Unlock Audio Lesson

Sign up and enroll to listen to this audio lesson

0:00
--:--
Teacher
Teacher Instructor

Today, we're discussing the rank of a matrix, which tells us how many vectors in that matrix are linearly independent. Who can tell me what they understand by 'rank'?

Student 1
Student 1

I think rank is about how many independent vectors there are in a matrix?

Teacher
Teacher Instructor

Exactly! If we have a matrix with more vectors than its rank, it implies that some of the vectors can be expressed as combinations of others, which means there's redundancy. Can anyone think of a scenario where this might matter?

Student 2
Student 2

Maybe in solving systems of linear equations? If they're dependent, we can't find a unique solution.

Teacher
Teacher Instructor

Great point! If the vectors represent equations, a full rank is necessary for a unique solution. Remember, you can find the rank using Gaussian elimination, which simplifies the matrix.

Student 3
Student 3

So if the rank is equal to the number of vectors, they're independent?

Teacher
Teacher Instructor

Precisely, well done! Let's summarize: the rank indicates the maximum count of linearly independent vectors, critical in determining the solution capacity of a system of equations.

Practical Implications of Matrix Rank

🔒 Unlock Audio Lesson

Sign up and enroll to listen to this audio lesson

0:00
--:--
Teacher
Teacher Instructor

Now that we understand rank, why do you think it's especially important in engineering, like when analyzing structures?

Student 4
Student 4

It probably helps ensure that a structure is stable, right?

Teacher
Teacher Instructor

Exactly! For structural systems, a full rank means the system is determinate and stable. If the rank is less, you might run into issues like over-redundancy. Can anyone give me an example?

Student 1
Student 1

Like trusses having too many supports, which could complicate the force analysis?

Teacher
Teacher Instructor

Right on! So, if we think about matrices representing stiffness in a structure, full rank ensures we can analyze it properly. Remember this relation: full rank means strong foundations in both theory and application!

Student 2
Student 2

It's fascinating how math ties directly into real-life structures!

Teacher
Teacher Instructor

Indeed! This understanding is fundamental for engineers. To recap, matrix rank not only determines linear independence but also influences real-world outcomes in engineering stability.

Introduction & Overview

Read summaries of the section's main ideas at different levels of detail.

Quick Overview

The rank of a matrix indicates the maximum number of linearly independent row or column vectors, serving as a key factor in assessing linear independence in vector spaces.

Standard

The concept of matrix rank is integral to understanding linear independence, where the rank reflects the number of linearly independent vectors in a matrix. A full rank signifies linear independence, which is essential for solving systems of equations effectively.

Detailed

The Rank of a Matrix and Linear Independence

The rank of a matrix is defined as the maximum number of linearly independent row or column vectors within that matrix. This property assists in determining whether the associated vectors maintain linear independence, a central concept in linear algebra.

To summarize:
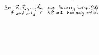
- For a matrix A with column vectors v₁, v₂,..., vₙ, the column vectors are linearly independent if and only if rank(A) = n (where n is the number of vectors).
- This can be efficiently tested through Gaussian elimination or row reduction techniques, confirming the rank of the matrix.

Significance in Engineering

In the context of engineering, especially in structural analysis, the rank must be full (equal to the number of equations or vectors) to ensure stability and determinate structures. If the rank is less than the number of vectors, it indicates dependency among the vectors, leading to potential failure in analysis or solution uniqueness.

Youtube Videos

Linear Independence
Linear Independence
Linear Independence Lecture Part 1: Linear Independence and Rank
Linear Independence Lecture Part 1: Linear Independence and Rank
Rank of a Matrix: Maximum number of linearly independent row or column vectors.(see pinned comment)
Rank of a Matrix: Maximum number of linearly independent row or column vectors.(see pinned comment)
MATRICES | LINEAR DEPENDENCE AND INDEPENDENCE | LINEAR EQUATIONS |LECTURE 07|PRADEEP GIRI SIR
MATRICES | LINEAR DEPENDENCE AND INDEPENDENCE | LINEAR EQUATIONS |LECTURE 07|PRADEEP GIRI SIR
COS 302: Linear Independence, Basis, and Rank
COS 302: Linear Independence, Basis, and Rank
EM 6 - Some theorems to determine rank of matrix and linear independence of vectors
EM 6 - Some theorems to determine rank of matrix and linear independence of vectors
How to Find the Rank of a Matrix (with echelon form) | Linear Algebra
How to Find the Rank of a Matrix (with echelon form) | Linear Algebra
Linear Independence of Vectors| Rank of Matrix| Sydsaeter & Hammond 14.1, 14.2
Linear Independence of Vectors| Rank of Matrix| Sydsaeter & Hammond 14.1, 14.2
Rank Of Matrix | How to find Rank of Matrix | MATRICES | Linear Algebra
Rank Of Matrix | How to find Rank of Matrix | MATRICES | Linear Algebra
Linear Algebra: Linear Independence and Rank of a Matrix
Linear Algebra: Linear Independence and Rank of a Matrix

Audio Book

Dive deep into the subject with an immersive audiobook experience.

Definition of Matrix Rank

Chapter 1 of 4

🔒 Unlock Audio Chapter

Sign up and enroll to access the full audio experience

0:00
--:--

Chapter Content

The rank of a matrix is the maximum number of linearly independent row (or column) vectors in the matrix.

Detailed Explanation

The rank of a matrix provides crucial information about the matrix's structure. Specifically, it indicates how many vectors in the matrix are independent from each other. If a matrix has a rank of r, it means there are r vectors that do not depend on any other vectors in that matrix. Therefore, understanding the rank helps us assess whether we can extract meaningful information from the matrix computations.

Examples & Analogies

Think of a team of researchers. If they all bring unique expertise (representing linearly independent vectors), they can tackle a problem in many different ways. If some researchers overlap in knowledge, their contributions are not unique (linearly dependent), which might limit the team's overall effectiveness.

Linear Independence of Column Vectors

Chapter 2 of 4

🔒 Unlock Audio Chapter

Sign up and enroll to access the full audio experience

0:00
--:--

Chapter Content

The column vectors of A are linearly independent if and only if rank(A)=n.

Detailed Explanation

In the context of a matrix A with n columns, the statement asserts that all column vectors are independent if the rank of the matrix equals the number of columns (n). If we perform Gaussian elimination or row reduction and find that there are exactly n pivot columns (indicating n independent vectors), we can conclude that the vectors span a full n-dimensional space.

Examples & Analogies

Imagine a classroom with n students, each representing a unique column vector. If all students have unique skills necessary for a project (i.e., they do not overlap in contributions), then the project can be executed optimally. If one student can do the same task as another, we have redundancy, indicating that the group is not fully effective (linear dependence).

Testing for Linear Independence

Chapter 3 of 4

🔒 Unlock Audio Chapter

Sign up and enroll to access the full audio experience

0:00
--:--

Chapter Content

This provides a very efficient test: use Gaussian elimination or row reduction to determine the rank.

Detailed Explanation

Gaussian elimination is a systematic method used to simplify matrices to discover their rank. By reducing the matrix to its row echelon form, we can easily count the number of pivot (leading) entries. Each pivot corresponds to a basis vector, allowing us to determine if the vectors in the matrix are linearly independent (if rank equals the number of vectors). This process makes it effective to analyze large and complex matrices quickly.

Examples & Analogies

Think of a chef preparing a complex dish with several ingredients. The chef organizes the ingredients and simplifies the preparation steps (similar to row elimination). By evaluating each ingredient's contribution (like counting pivots), the chef determines whether each is necessary or if some are just duplicates (redundancies). This ensures the dish is optimized for flavor and efficiency.

Engineering Insight

Chapter 4 of 4

🔒 Unlock Audio Chapter

Sign up and enroll to access the full audio experience

0:00
--:--

Chapter Content

In the analysis of structural systems like trusses or beams, stiffness and flexibility matrices must have full rank to ensure the system is determinate and stable.

Detailed Explanation

In civil engineering, systems such as trusses rely on the independence of forces and moments to be stable. The stiffness matrix, which represents how the structure responds to loads, must contain linearly independent vectors to adequately describe the behavior of that structure under various load conditions. If the rank is not full, we might encounter indeterminacy, leading to an unstable design.

Examples & Analogies

Picture a bridge's stability, supported by a network of beams (the matrix). Each beam must provide unique support (linearly independent vectors) to prevent collapse. If too many beams provide the same support (linear dependence), the overall structure may not support loads efficiently, leading to potential failures. Thus, engineers must ensure that every beam contributes uniquely to the bridge's stability.

Key Concepts

  • Matrix Rank: Indicates the number of linearly independent vectors in a matrix.

  • Linear Independence: A concept that ensures the uniqueness of a vector set in representation.

  • Gaussian Elimination: A method used to determine the rank of a matrix.

  • Full Rank: When a matrix's rank equals the number of its vectors, indicating no redundancy.

Examples & Applications

A matrix with three column vectors, A = [1, 0, 1; 0, 1, 2; 1, 1, 0], has a rank of 2, indicating one of its vectors is dependent on the others.

In a structural analysis context, a stiffness matrix for a truss must have full rank to ensure unique displacement solutions.

Memory Aids

Interactive tools to help you remember key concepts

🎵

Rhymes

Rank the matrix from one to n, if independent, then it's our friend.

📖

Stories

Imagine a group of vectors on a treasure hunt, needing to work independently. If they overlap too much, they can't find unique treasures!

🧠

Memory Tools

Remember 'RIL' for Rank: Rank Indicates Linear Independence.

🎯

Acronyms

Use 'FIND' - Full rank Indicates No Redundancy.

Flash Cards

Glossary

Rank

The maximum number of linearly independent row or column vectors in a matrix.

Linearly Independent

A set of vectors is linearly independent if no vector can be expressed as a linear combination of the others.

Gaussian Elimination

A method for solving systems of linear equations which involves row reducing a matrix.

Full Rank

A situation where the rank of a matrix equals the number of its rows or columns, indicating maximum independence.

Redundancy

The presence of unnecessary elements in a system or set; in matrices, it means some vectors do not contribute new information.

Reference links

Supplementary resources to enhance your learning experience.