The Wronskian And Linear Independence Of Functions (23.11) - Linear Independence
Students

Academic Programs

AI-powered learning for grades 8-12, aligned with major curricula

Professional

Professional Courses

Industry-relevant training in Business, Technology, and Design

Games

Interactive Games

Fun games to boost memory, math, typing, and English skills

The Wronskian and Linear Independence of Functions

The Wronskian and Linear Independence of Functions

Enroll to start learning

You’ve not yet enrolled in this course. Please enroll for free to listen to audio lessons, classroom podcasts and take practice test.

Practice

Interactive Audio Lesson

Listen to a student-teacher conversation explaining the topic in a relatable way.

Introduction to the Wronskian

🔒 Unlock Audio Lesson

Sign up and enroll to listen to this audio lesson

0:00
--:--
Teacher
Teacher Instructor

Today, we'll explore the Wronskian determinant, a critical method for testing linear independence among functions. Can anyone recall why linear independence is important?

Student 1
Student 1

It helps determine if functions can form a unique solution or not, right?

Teacher
Teacher Instructor

Exactly! If functions are linearly independent, it means they do not combine to form each other, leading to unique solutions. Let’s look at what the Wronskian actually is.

Student 2
Student 2

How do we actually compute the Wronskian?

Teacher
Teacher Instructor

Great question! The Wronskian is defined for a set of n functions as a determinant of a specific matrix. Let's go through the formula together.

Teacher
Teacher Instructor

Remember: if the Wronskian is non-zero for some value x, the functions are linearly independent! This is a key takeaway.

Calculating the Wronskian

🔒 Unlock Audio Lesson

Sign up and enroll to listen to this audio lesson

0:00
--:--
Teacher
Teacher Instructor

Now that we understand the Wronskian's importance, let’s look at how to calculate it. For example, consider the functions f1(x) = x, f2(x) = x^2. Can we set up their Wronskian?

Student 3
Student 3

So, we create the determinant matrix with f1 and f2, and their derivatives?

Teacher
Teacher Instructor

Precisely! Their derivatives are f1'(x) = 1 and f2'(x) = 2x. What does the Wronskian look like?

Student 4
Student 4

"It would be:

Applications of the Wronskian in Engineering

🔒 Unlock Audio Lesson

Sign up and enroll to listen to this audio lesson

0:00
--:--
Teacher
Teacher Instructor

Now that we can compute the Wronskian, let’s discuss its applications, especially in civil engineering. Can anyone suggest where this might be useful?

Student 1
Student 1

In beam deflection problems, for example!

Teacher
Teacher Instructor

Exactly! Ensuring the functions representing the deflections are linearly independent allows us to find a unique deformation profile in structures.

Student 3
Student 3

What about problems involving vibrations and soil mechanics?

Teacher
Teacher Instructor

Very relevant! Linear independence of solutions in those contexts ensures stability and validity of models. It’s fascinating how mathematics directly impacts engineering design!

Introduction & Overview

Read summaries of the section's main ideas at different levels of detail.

Quick Overview

This section introduces the Wronskian determinant as a method for testing the linear independence of functions in the context of differential equations.

Standard

In this section, the Wronskian determinant is defined and explained as a tool to ascertain whether a set of differentiable functions is linearly independent. It discusses its significance in engineering and provides applications relevant to civil engineering.

Detailed

Detailed Summary

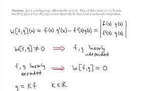
The Wronskian determinant is a critical tool used in differential equations to test the linear independence of functions. Given a set of functions, denoted as f1(x), f2(x), ..., fn(x), that are differentiable up to order n-1, the Wronskian is constructed to assess their independence. The formula for the Wronskian is expressed as follows:

$$ W(f_1, f_2, \, ..., f_n)(x) = \begin{vmatrix}
f_1(x) & f_2(x) & \cdots & f_n(x) \
f_1'(x) & f_2'(x) & \cdots & f_n'(x) \
\vdots & \vdots & \ddots & \vdots \
f_{(n-1)}(x) & f_{(n-1)}(x) & \cdots & f_{(n-1)}(x)
\end{vmatrix} $$

The Wronskian is non-zero for at least one point in the interval if the set of functions is linearly independent. This concept is particularly valuable in civil engineering applications, as ensuring a unique solution in problems related to beam deflection and vibration requires linear independence of the solution functions. Thus, understanding the Wronskian is essential for developing reliable engineering models and structures.

Youtube Videos

Linear Independence of Functions & The Wronskian
Linear Independence of Functions & The Wronskian
Differential Equation - Wronskian | linearly independent & Dependent Solution   | Abel's Formula
Differential Equation - Wronskian | linearly independent & Dependent Solution | Abel's Formula
Linear Independence of Functions with Wronskian | Linear Algebra
Linear Independence of Functions with Wronskian | Linear Algebra
Linear Independent Functions - The Wronskian
Linear Independent Functions - The Wronskian
Wronskian & Linear Independence
Wronskian & Linear Independence
How Does the Wronskian Test for Linear Independence? Proof
How Does the Wronskian Test for Linear Independence? Proof
The Wronskian and Linear Independence
The Wronskian and Linear Independence
Wronskian Differential Equations | Linear Dependence & Independence of an ODEs | Wronskin Matrix
Wronskian Differential Equations | Linear Dependence & Independence of an ODEs | Wronskin Matrix
Lecture 2 -  Linear Independence and Wronskian of functions
Lecture 2 - Linear Independence and Wronskian of functions
Lesson 5 - Linearly Independent Solutions and the Wronskian Test
Lesson 5 - Linearly Independent Solutions and the Wronskian Test

Audio Book

Dive deep into the subject with an immersive audiobook experience.

Definition of the Wronskian

Chapter 1 of 3

🔒 Unlock Audio Chapter

Sign up and enroll to access the full audio experience

0:00
--:--

Chapter Content

Let f_1(x), f_2(x), ..., f_n(x) be functions differentiable up to order n−1. The Wronskian is defined as:

W(f_1, f_2, ..., f_n)(x) = | f_1(x) f_2(x) ... f_n(x) |
| f_1'(x) f_2'(x) ... f_n'(x) |
| ... ... ... |
| f_1(n−1)(x) f_2(n−1)(x) ... f_n(n−1)(x) |

Detailed Explanation

The Wronskian is a determinant that helps to test whether a set of functions is linearly independent. For n functions, the Wronskian is a matrix composed of the functions and their derivatives up to the (n-1)th order. The structure of the Wronskian is such that each row consists of the functions in the first row, their first derivatives in the second row, and so on, until the (n-1)th derivatives in the last row. Calculating the Wronskian involves finding the determinant of this matrix.

Examples & Analogies

Consider a team of scientists working on a complex project, where each scientist specializes in a different area. If their knowledge (functions) is unique and they do not overlap (independence), the collective outcome is much stronger. The Wronskian acts like a test to ensure each scientist can contribute uniquely to the project; if their contributions overlap too much, the team's effectiveness might diminish.

Testing Linear Independence with the Wronskian

Chapter 2 of 3

🔒 Unlock Audio Chapter

Sign up and enroll to access the full audio experience

0:00
--:--

Chapter Content

If W ≠ 0 for some x, the functions are linearly independent on that interval.

Detailed Explanation

To determine if the functions f_1, f_2, ..., f_n are linearly independent, you compute the Wronskian. If you find that the Wronskian is non-zero at some point x, it indicates that there is no way to write one of the functions as a linear combination of the others in that interval. This positive result confirms that the functions do not depend on one another in a linear sense.

Examples & Analogies

Think of different musical instruments in an orchestra. If each instrument (a function) contributes a unique sound (meaning it's necessary for the piece of music), the overall harmony (linear independence) is maintained. If one instrument can be replaced by another without loss, it indicates redundancy (linear dependence). The Wronskian here can be viewed as a ‘sound test’ to ensure all musicians play distinct notes.

Applications in Civil Engineering

Chapter 3 of 3

🔒 Unlock Audio Chapter

Sign up and enroll to access the full audio experience

0:00
--:--

Chapter Content

In civil engineering problems involving beam deflection, soil mechanics, or vibration, linear independence of solutions ensures a unique and physically valid deformation profile.

Detailed Explanation

In the field of civil engineering, especially in analyzing structures or systems, ensuring that solutions (functions) are linearly independent using the Wronskian is crucial. For instance, in calculating the deformation of beams under load, each unique deformation shape corresponds to an independent solution. If these solutions were linearly dependent, it would suggest that the structure could behave in multiple ways without a unique outcome, making it challenging to predict its response to loads.

Examples & Analogies

Imagine a bridge needing to flex under different loads; if the bridge's design relies on several methods of flexing (think of methods as functions), and those methods overlap too much, the bridge might not handle stress effectively, leading to potential failure. The Wronskian ensures these methods are unique, giving engineers confidence that each will contribute differently to the bridge's performance under various conditions.

Key Concepts

  • Wronskian: A determinant used to test if functions are linearly independent.

  • Linear Independence: A state where functions do not reproduce each other via linear combinations.

  • Differentiable Function: A function that has a derivative at every point in its interval.

Examples & Applications

For functions f1(x) = cos(x) and f2(x) = sin(x), the Wronskian W(f1,f2)(x) = 1, showing they are linearly independent.

In civil engineering, the linear independence of functions representing deflections in beams ensures structural integrity.

Memory Aids

Interactive tools to help you remember key concepts

🎵

Rhymes

If W is not zero, then functions flow, independent from each other, as they grow.

📖

Stories

Imagine a musician with different instruments. Each plays unique notes; if they tried to play the same note, it would create chaos! That’s what linear independence ensures for functions.

🧠

Memory Tools

Use the acronym 'WIP' to remember - Wronskian Indicates Independence of Functions.

🎯

Acronyms

WAF - Wronskian, Analyze, Functions for determining independence.

Flash Cards

Glossary

Wronskian

A determinant used to test the linear independence of differentiable functions.

Linear Independence

A property of a set of functions where no function can be expressed as a linear combination of others.

Determinant

A calculated value that can determine properties of matrix, including whether a set of vectors is linearly independent.

Differentiable Function

A function that has a derivative at each point in its domain.

Reference links

Supplementary resources to enhance your learning experience.