Complex Powers and Roots - 5.12 | 5. Complex Exponential Function | Mathematics (Civil Engineering -1)
Students

Academic Programs

AI-powered learning for grades 8-12, aligned with major curricula

Professional

Professional Courses

Industry-relevant training in Business, Technology, and Design

Games

Interactive Games

Fun games to boost memory, math, typing, and English skills

Complex Powers and Roots

5.12 - Complex Powers and Roots

Enroll to start learning

You’ve not yet enrolled in this course. Please enroll for free to listen to audio lessons, classroom podcasts and take practice test.

Practice

Interactive Audio Lesson

Listen to a student-teacher conversation explaining the topic in a relatable way.

Definition of Complex Powers

🔒 Unlock Audio Lesson

Sign up and enroll to listen to this audio lesson

0:00
--:--
Teacher
Teacher Instructor

Today, we will discuss complex powers. Specifically, if we have a complex number expressed as z = re^(iθ), how do you think we calculate its nth power?

Student 1
Student 1

I think we raise the modulus to the power n and multiply the angle by n.

Teacher
Teacher Instructor

Exactly! The definition for complex powers is z^n = r^ne^(inθ). This shows how the absolute value and angle of the complex number transform when elevated to a power.

Student 2
Student 2

So, it changes the way we visualize it too?

Teacher
Teacher Instructor

Good question! Yes, it affects the spiral nature we observe in the complex plane, reinforcing our visual understanding.

Student 3
Student 3

Is that similar to rotating vectors?

Teacher
Teacher Instructor

Absolutely! The rotation becomes clearer when we visualize these powers. Let's remember: 'Magnitude up, Angle multipliers up' for this concept.

Teacher
Teacher Instructor

To summarize, in complex powers, we raise the modulus to n while multiplying the angle by n.

Definition of Complex Roots

🔒 Unlock Audio Lesson

Sign up and enroll to listen to this audio lesson

0:00
--:--
Teacher
Teacher Instructor

"Now let's look at complex roots! We express nth roots of a complex number like this: $

Application in Civil Engineering

🔒 Unlock Audio Lesson

Sign up and enroll to listen to this audio lesson

0:00
--:--
Teacher
Teacher Instructor

Now, let’s connect what we learned about complex powers and roots to civil engineering applications. Can anyone explain how these concepts help in analyzing structures?

Student 4
Student 4

I believe they help in modal analysis. The roots and powers translate to different vibration modes of a structure?

Teacher
Teacher Instructor

Exactly! The analysis of resonance frequencies often draws from the roots of complex numbers. When you model dynamic responses of structures, these roots inform us about oscillation behaviors.

Student 2
Student 2

So it's essential for knowing how structures react to forces, like during an earthquake?

Teacher
Teacher Instructor

Right! And understanding the periodic nature of these vibrations is crucial for safety in engineering designs.

Teacher
Teacher Instructor

To sum up, complex powers and roots empower us to predict behaviors in civil engineering through modal analysis and resonance frequencies.

Introduction & Overview

Read summaries of the section's main ideas at different levels of detail.

Quick Overview

This section explores the definitions and geometric interpretations of complex powers and roots, highlighting their significance in civil engineering.

Standard

In this section, we define complex powers and roots of complex numbers and discuss their geometric interpretation in the complex plane. Applications in civil engineering, including modal analysis and resonance frequency analysis, are also highlighted.

Detailed

Detailed Summary

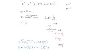
In the study of complex numbers, the concepts of complex powers and roots play a crucial role. Given a complex number expressed in polar form as $z = re^{iθ}$, its complex power is defined as:

$$z^n = r^ne^{inθ$$

This means the absolute value of the complex number raised to the power $n$ affects the magnitude, while the angle gets multiplied by $n$.

For exploring the roots of complex numbers, the nth roots can be expressed as:

$$\sqrt[n]{z} = r^{1/n}e^{(θ + 2kπ)/n}, \quad k = 0, 1,..., n-1$$

Geometrically, the nth roots of a complex number are positioned evenly on a circle in the complex plane, forming the vertices of a regular polygon. This aspect is particularly relevant in civil engineering, where understanding the dynamics of complex roots assists in areas such as modal analysis of structures and analysis of resonance frequencies in mechanical systems.

Youtube Videos

Powers and Roots of Complex Numbers 75
Powers and Roots of Complex Numbers 75
1060 TICE 11.7c Powers and Roots of Complex Numbers
1060 TICE 11.7c Powers and Roots of Complex Numbers
Roots of Complex Numbers
Roots of Complex Numbers
3.3 Powers and roots (Basic Mathematics)
3.3 Powers and roots (Basic Mathematics)
Complex Numbers 5 - Finding Powers and Roots
Complex Numbers 5 - Finding Powers and Roots
08 - Multiplication,  division,  powers and roots
08 - Multiplication, division, powers and roots
How to Find the nth Roots of a Complex Number with the Formula
How to Find the nth Roots of a Complex Number with the Formula
Powers and Roots of Complex Numbers
Powers and Roots of Complex Numbers
COMPLEX NUMBERS | MATHEMATICS 1 | LECTURE 04 |Roots of Complex Number|FIRST YEAR ENGINEERING
COMPLEX NUMBERS | MATHEMATICS 1 | LECTURE 04 |Roots of Complex Number|FIRST YEAR ENGINEERING
Math Antics - Exponents and Square Roots
Math Antics - Exponents and Square Roots

Audio Book

Dive deep into the subject with an immersive audiobook experience.

Definition of Complex Powers

Chapter 1 of 4

🔒 Unlock Audio Chapter

Sign up and enroll to access the full audio experience

0:00
--:--

Chapter Content

Given a complex number z = re^(iθ), we define its complex power as:

z^n = r^n e^(inθ)

Detailed Explanation

To understand complex powers, we start with a complex number in polar form, expressed as z = re^(iθ). Here, 'r' represents the modulus (or length) of the complex number, and 'θ' is the argument (the angle). When we take the nth power of z, we raise both the modulus and the exponential part:
- The modulus is raised to the power of 'n', yielding r^n.
- The exponential part multiplies the angle by 'n', resulting in e^(inθ). Thus, the formula z^n = r^n e^(inθ) captures how both the magnitude and the angle change in the complex plane as we raise a complex number to an integer power.

Examples & Analogies

Imagine a wind turbine spinning in a circular path. The distance from the center of the turbine to the blade tip represents the modulus (r), while the angle at which the blade is positioned from a reference line represents the argument (θ). If we were to model the turbine’s rotation at different speeds, we could think of the nth power as simulating multiple blades operating at different angles yet all maintaining the same radius. Just as raising the turbine's power impacts how fast it spins, exponentiating a complex number changes both the distance and orientation from the origin.

Definition of Complex Roots

Chapter 2 of 4

🔒 Unlock Audio Chapter

Sign up and enroll to access the full audio experience

0:00
--:--

Chapter Content

Similarly, the nth roots of a complex number are given by:

√n z = r^(1/n) e^(i(θ + 2kπ)/n), k = 0, 1, ..., n-1

Detailed Explanation

Calculating the nth roots of a complex number is somewhat the reverse of finding its power. From the expression √n z = r^(1/n) e^(i(θ + 2kπ)/n), we see that we are returning to the original modulus:
- The modulus is taken to the nth root, giving us r^(1/n).
- The angle θ is divided by 'n', with an additional term, 2kπ/n, allowing us to find all 'n' unique roots. Each value of 'k' (0 to n-1) provides a different angle and hence a different root, which means there are 'n' distinct roots evenly spaced on a circle in the complex plane.

Examples & Analogies

Consider a pizza sliced into equal parts, where each slice represents a root of the complex number. If the pizza has a radius representing the modulus (r), then each slice placed on a table (the complex plane) corresponds to a unique angle derived from θ divided by n. Just like how each slice maintains the same radius but points in a different direction, each root of the complex number points out from the origin at evenly spaced intervals.

Geometric Interpretation of Roots

Chapter 3 of 4

🔒 Unlock Audio Chapter

Sign up and enroll to access the full audio experience

0:00
--:--

Chapter Content

Geometric Interpretation:
- The n roots lie evenly spaced on a circle of radius r^(1/n) in the complex plane.
- They form the vertices of a regular polygon.

Detailed Explanation

The geometric interpretation of complex roots provides a visual understanding that complements the algebraic method. When plotting the nth roots of a complex number on the complex plane, the roots appear distributed evenly along the circumference of a circle with a radius of r^(1/n). Each root represents a vertex of a regular n-sided polygon, reflecting how the roots relate to each other in angles and distances from the origin. This method not only helps in visualizing complex mathematics but also simplifies understanding how these roots behave when subjected to additional transformations.

Examples & Analogies

Think of a bicycle wheel where each spoke represents a root of a complex number. When you divide the wheel into equal segments (just like calculating the nth roots), each spoke points toward a unique direction, yet all maintain the same distance from the center. As you rotate the wheel, you visualize how each root 'spins' around the origin but remains evenly spaced, demonstrating the harmony between algebra and geometry in complex numbers.

Applications in Civil Engineering

Chapter 4 of 4

🔒 Unlock Audio Chapter

Sign up and enroll to access the full audio experience

0:00
--:--

Chapter Content

Application in Civil Engineering:
- Used in the modal analysis of structures.
- Helps analyze resonance frequencies in mechanical systems.
- Relevant in dynamic response modeling of damped/undamped systems.

Detailed Explanation

In civil engineering, the principles of complex powers and roots are critical during the analysis and design of structures. When evaluating how structures respond to forces, engineers use the modal analysis to understand different vibration modes that structures may exhibit. By applying complex powers and finding roots, engineers can calculate the natural frequencies at which structures resonate, ensuring they design buildings and bridges that can withstand dynamic loads without leading to excessive vibrations or potential failure.

Examples & Analogies

Consider a suspension bridge swaying in the wind: each sway can be seen as a vibration mode. Just like a musician tunes a guitar string to find the best tone, engineers must tune the bridge's response to various forces, using complex roots to analyze the structure's potential oscillations. By understanding these complex behaviors, engineers can anticipate and mitigate issues, ensuring the safety and longevity of the bridge under various conditions.

Key Concepts

  • Definition of Complex Powers: Complex powers are calculated by raising the modulus to the power and multiplying the angle.

  • Definition of Complex Roots: Complex roots involve taking the modulus root and evenly spacing the angles around the unit circle.

  • Geometric Interpretation: Both powers and roots can be represented in the complex plane, providing visualization of transformations.

  • Application in Civil Engineering: Complex powers and roots are applied in modal analysis and understanding resonance frequencies.

Examples & Applications

For z = 2e^(iπ/4), z^3 can be calculated as (2^3)e^(3iπ/4) = 8e^(3iπ/4).

If z = 1 + i, express z in polar form and calculate the square root, resulting in √2 * e^(iπ/4).

Memory Aids

Interactive tools to help you remember key concepts

🎵

Rhymes

Powers and roots spin fine, magnitude up, angles align, evenly spaced in a circle's design.

📖

Stories

Imagine a kingdom where knights represent complex numbers. When raised to a power, they strengthen their armor (magnitude) and conquer new lands (angle). When finding roots, they equally share their new territories, creating a polygonal kingdom!

🧠

Memory Tools

For powers, we say: "Mighty Angle Multiplies". For roots, "Regular Radius Shares".

🎯

Acronyms

P.A.R. — Powers (Magnitude up, Angle multiplied), And Roots (Radius down, Angles spaced).

Flash Cards

Glossary

Complex Powers

The result of raising a complex number to an integer exponent, exhibiting a change in magnitude and angle.

Complex Roots

Values obtained by taking the nth root of a complex number, represented geometrically as points on a circle in the complex plane.

Polar Form

A way to express complex numbers with a modulus and an argument in the form z = re^(iθ).

Geometric Interpretation

Visual representation of complex numbers in the complex plane, highlighting their relationships.

Modal Analysis

A technique used to determine the natural vibration modes of a structure.

Resonance Frequency

The frequency at which a system naturally oscillates, important in analyzing dynamic systems.

Reference links

Supplementary resources to enhance your learning experience.