Basis of an Eigenspace - 32.2 | 32. Basis of Eigenvectors | Mathematics (Civil Engineering -1)
Students

Academic Programs

AI-powered learning for grades 8-12, aligned with major curricula

Professional

Professional Courses

Industry-relevant training in Business, Technology, and Design

Games

Interactive Games

Fun games to boost memory, math, typing, and English skills

Basis of an Eigenspace

32.2 - Basis of an Eigenspace

Enroll to start learning

You’ve not yet enrolled in this course. Please enroll for free to listen to audio lessons, classroom podcasts and take practice test.

Practice

Interactive Audio Lesson

Listen to a student-teacher conversation explaining the topic in a relatable way.

Understanding Eigenvalues

🔒 Unlock Audio Lesson

Sign up and enroll to listen to this audio lesson

0:00
--:--
Teacher
Teacher Instructor

Today, we're discussing the significance of eigenvalues in determining the basis of an eigenspace. Can anyone tell me what an eigenvalue is?

Student 1
Student 1

Is it the value λ from the equation Av = λv?

Teacher
Teacher Instructor

Exactly! The eigenvalue λ relates to a specific vector Earth that isn’t altered in direction by the transformation represented by matrix A. It lengthens or shortens that vector.

Student 2
Student 2

So if we find the eigenvectors, we can understand how the matrix transforms space?

Teacher
Teacher Instructor

Exactly right! The eigenvectors associated with λ form a basis that can describe the entire eigenspace.

Student 3
Student 3

What does it mean for a set to be linearly independent?

Teacher
Teacher Instructor

Good question! Linear independence means no vector in the set can be expressed as a combination of the others. This is crucial for spanning the eigenspace.

Student 4
Student 4

Can we summarize what eigenvalues and eigenvectors do?

Teacher
Teacher Instructor

Sure! Remember, 'Eigenvalues are the lengths, and eigenvectors are the directions!'

Finding Eigenspaces

🔒 Unlock Audio Lesson

Sign up and enroll to listen to this audio lesson

0:00
--:--
Teacher
Teacher Instructor

Now let's move on to finding eigenspaces. After identifying eigenvalues, what do we do next?

Student 1
Student 1

We need to solve the equation (A−λI)v = 0, right?

Teacher
Teacher Instructor

Correct! Solving this homogeneous equation will give us the null space, which is our eigenspace associated with eigenvalue λ.

Student 2
Student 2

And the solutions we find will be the eigenvectors?

Teacher
Teacher Instructor

Absolutely! The solutions form a vector space. To find the basis of this space, we need to ensure these vectors are linearly independent.

Student 3
Student 3

How do we check if they're linearly independent?

Teacher
Teacher Instructor

We can look for whether one vector can be expressed as a combination of the others, or use techniques like row-reduction on the corresponding matrix.

Student 4
Student 4

That sounds like a lot of work!

Teacher
Teacher Instructor

It can be, but it's crucial! Let's remember the acronym 'B.E.C' — Basis, Eigenvectors, Check!

Applications in Engineering

🔒 Unlock Audio Lesson

Sign up and enroll to listen to this audio lesson

0:00
--:--
Teacher
Teacher Instructor

Finally, how do these concepts apply in civil engineering?

Student 1
Student 1

In modal analysis, eigenvectors represent different vibration modes of a structure.

Teacher
Teacher Instructor

Exactly! And understanding these modes helps engineers design structures that can withstand various stresses.

Student 2
Student 2

What about when the system is subject to seismic waves?

Teacher
Teacher Instructor

Great point! By analyzing eigenspaces, engineers can predict how buildings will respond during earthquakes.

Student 3
Student 3

So having a basis of eigenvectors is crucial for safety and stability?

Teacher
Teacher Instructor

That’s correct! Without a proper foundation in these concepts, engineers could encounter significant risks.

Student 4
Student 4

This really emphasizes the importance of linear algebra!

Teacher
Teacher Instructor

Absolutely! 'Understanding the basics leads to structural stability!' Let’s keep that in mind.

Introduction & Overview

Read summaries of the section's main ideas at different levels of detail.

Quick Overview

This section covers how to determine a basis for the eigenspace of an eigenvalue by solving a homogeneous linear system and identifying the linearly independent eigenvectors that span the eigenspace.

Standard

The basis of an eigenspace is a set of eigenvectors that spans the space and is linearly independent. This section explains the method to find the basis by first finding eigenvalues, then solving for the eigenspace, and finally ensuring the eigenvectors are sufficient to span the eigenspace. This process is essential for applications in engineering, particularly in the analysis of vibrations and stability.

Detailed

In linear algebra, understanding the basis of eigenspaces associated with eigenvalues is vital, especially in engineering applications. An eigenspace corresponding to an eigenvalue λ of a matrix A is defined as the set of eigenvectors that satisfy Av = λv, along with the zero vector. This section outlines the steps to find a basis for the eigenspace: firstly, compute the eigenvalues by solving the characteristic equation det(A−λI) = 0; secondly, identify the eigenspace by solving the homogeneous system (A−λI)v = 0; and lastly, extract a linearly independent set of eigenvectors from this solution set. The basis formed by these eigenvectors is crucial in various engineering fields such as structural dynamics, where understanding modes of vibrations enhances designs.

Youtube Videos

How to Find Eigenvalue and Basis for Eigenspace
How to Find Eigenvalue and Basis for Eigenspace
How to find Eigenspaces
How to find Eigenspaces
ALA32: Eigenvectors and basis for Eigenspaces
ALA32: Eigenvectors and basis for Eigenspaces
Eigenspace of an eigen value|Finding basis and dimension of eigen space|Linear Algebra
Eigenspace of an eigen value|Finding basis and dimension of eigen space|Linear Algebra
Eigenspaces and their Bases | Linear Algebra
Eigenspaces and their Bases | Linear Algebra
Find a basis for an eigenspace
Find a basis for an eigenspace
Linear Algebra Example Problems - Basis for an Eigenspace
Linear Algebra Example Problems - Basis for an Eigenspace
Diagonalization (And what actually are Eigenvalues, Eigenvectors and Eigenspaces?)
Diagonalization (And what actually are Eigenvalues, Eigenvectors and Eigenspaces?)
Finding a Basis for the Eigenspace of a Matrix
Finding a Basis for the Eigenspace of a Matrix
Intro to Linear Algebra - Eigenspaces
Intro to Linear Algebra - Eigenspaces

Audio Book

Dive deep into the subject with an immersive audiobook experience.

Understanding the Basis of Eigenvectors

Chapter 1 of 3

🔒 Unlock Audio Chapter

Sign up and enroll to access the full audio experience

0:00
--:--

Chapter Content

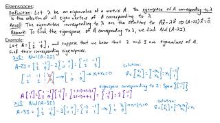
To understand the basis of eigenvectors, we focus on finding a basis for each eigenspace \(E_\lambda\).

Let’s suppose:
- A is an n×n matrix
- \(\lambda\) is an eigenvalue of A
- We solve \((A−\lambda I)v=0\)

Detailed Explanation

This chunk introduces the concept of finding a basis of eigenvectors for a given eigenvalue \(\lambda\). First, we determine what it means to have a basis: it is a set of vectors that spans the vector space formed by the eigenspace corresponding to \(\lambda\). To find eigenvectors, we start with the matrix \(A\) and the eigenvalue \(\lambda\) and solve the equation \((A−\lambda I)v=0\), where \(I\) is the identity matrix. This equation is a homogeneous system of linear equations, and its solutions will give us the eigenvectors that form our basis.

Examples & Analogies

Imagine you are teaching a music class and want to teach a particular song. The notes you choose to play are analogous to the eigenvectors, while the full song represents the eigenspace. The eigenvectors must be unique but together create the complete music piece—this is the basis of your song.

Solutions Form a Vector Space

Chapter 2 of 3

🔒 Unlock Audio Chapter

Sign up and enroll to access the full audio experience

0:00
--:--

Chapter Content

The solutions to this homogeneous system form a vector space, and the vectors that span this space are the eigenvectors corresponding to \(\lambda\).

Detailed Explanation

When we solve the equation \((A−\lambda I)v=0\), the collection of solutions (eigenvectors) we find constitutes a vector space—specifically the eigenspace for that eigenvalue \(\lambda\). This means that any linear combination of these eigenvectors will also be in this vector space, thereby fulfilling one of the necessary conditions for a valid vector space: closure under addition and scalar multiplication.

Examples & Analogies

Think about filling a jar with water. Each drop of water represents an eigenvector. When combined, they fill the jar (the vector space). Just like you can mix and match drops to fill the jar to various levels, eigenvectors can be linearly combined to produce any vector in the eigenspace.

Basis of the Eigenspace

Chapter 3 of 3

🔒 Unlock Audio Chapter

Sign up and enroll to access the full audio experience

0:00
--:--

Chapter Content

A basis of the eigenspace is a linearly independent set of eigenvectors that spans the entire eigenspace.

Detailed Explanation

Once we find the eigenvectors corresponding to the eigenvalue \(\lambda\), we need to check if they form a basis. A basis must not only span the entirety of the eigenspace but must also consist of linearly independent vectors. This means no vector in the basis can be expressed as a linear combination of the others. If the eigenvectors satisfy these criteria, they collectively provide a complete way to construct any vector within that eigenspace.

Examples & Analogies

Consider a set of colored pencils. If every pencil (eigenvector) represents a unique color, then together they can create any color you want (span the eigenspace) as long as no two pencils are the same color (linearly independent). This way, you have a full palette to work with!

Key Concepts

  • Eigenvalues: Scalars that indicate how eigenvectors are stretched or compressed by a matrix.

  • Eigenvectors: Non-zero vectors that remain in the same direction under the transformation applied by the matrix.

  • Eigenspace: The vector space spanned by eigenvectors corresponding to a specific eigenvalue.

  • Basis of an Eigenspace: A linearly independent set of eigenvectors that span the eigenspace.

Examples & Applications

For a matrix A, if λ=5 is an eigenvalue, then every eigenvector v satisfying Av=5v lies in the eigenspace for λ=5.

If a 2x2 matrix has eigenvalues of 2 and 3, we can find corresponding eigenvectors to define bases for the respective eigenspaces.

Memory Aids

Interactive tools to help you remember key concepts

🎵

Rhymes

Eigenvalues stretch, eigenvectors stay, in their space they dance and play.

📖

Stories

Imagine a sailboat, the sail (eigenvector) catching the wind (eigenvalue) perfectly, guiding it across the sea without changing its direction—this illustrates the relationship in a matrix transformation.

🧠

Memory Tools

Remember 'V.E.A.' for eigenvectors, eigenvalues and eigenspaces.

🎯

Acronyms

Use 'B.E.C.' to remember

Basis

Eigenvectors

Check for linear independence!

Flash Cards

Glossary

Eigenvalue

A scalar λ such that Av = λv for a non-zero vector v.

Eigenvector

A non-zero vector v that satisfies Av = λv.

Eigenspace

The set of all eigenvectors corresponding to a particular eigenvalue, along with the zero vector.

Basis of an Eigenspace

A linearly independent set of eigenvectors that spans the eigenspace.

Linear Independence

A condition where no vector can be written as a linear combination of others in a set.

Reference links

Supplementary resources to enhance your learning experience.