Solving Differential Equations Using Fourier Transform (11.9) - Fourier Transform and Properties
Students

Academic Programs

AI-powered learning for grades 8-12, aligned with major curricula

Professional

Professional Courses

Industry-relevant training in Business, Technology, and Design

Games

Interactive Games

Fun games to boost memory, math, typing, and English skills

Solving Differential Equations Using Fourier Transform

Solving Differential Equations Using Fourier Transform

Enroll to start learning

You’ve not yet enrolled in this course. Please enroll for free to listen to audio lessons, classroom podcasts and take practice test.

Practice

Interactive Audio Lesson

Listen to a student-teacher conversation explaining the topic in a relatable way.

Understanding the Differential Equation

🔒 Unlock Audio Lesson

Sign up and enroll to listen to this audio lesson

0:00
--:--
Teacher
Teacher Instructor

Today we'll discuss a second-order linear ordinary differential equation. It usually takes the form 'd²y/dt² - 3dy/dt + 2y = f(t)'. Can anyone tell me the components of this equation?

Student 1
Student 1

The components are the second and first derivatives of y, as well as the function f(t) on the right side.

Teacher
Teacher Instructor

That's correct! The left side represents the behavior of the system, while f(t) is the external force acting upon it. What might be the challenge in solving this directly?

Student 2
Student 2

It seems complex; we need to find y for every t.

Teacher
Teacher Instructor

Exactly! That's where the Fourier Transform comes in handy. It helps convert our equation into a more manageable form in the frequency domain.

Fourier Transform Application

🔒 Unlock Audio Lesson

Sign up and enroll to listen to this audio lesson

0:00
--:--
Teacher
Teacher Instructor

Now, let's apply the Fourier Transform to both sides of our ODE. We have 'F{d²y/dt²} - 3F{dy/dt} + 2F{y} = F{f(t)}'. Does anyone remember how to transform derivatives using Fourier?

Student 3
Student 3

Yes! The Fourier Transform of a derivative brings in factors of iω.

Teacher
Teacher Instructor

Right on! That means we rewrite the equation as '(-ω²Y(ω)) - 3(iωY(ω)) + 2Y(ω) = F(ω)'. What does this form allow us to do?

Student 4
Student 4

It lets us solve for Y(ω) conveniently!

Teacher
Teacher Instructor

Exactly! Next, we'll manipulate that equation to express Y(ω) in terms of F(ω).

Solving for Y(ω)

🔒 Unlock Audio Lesson

Sign up and enroll to listen to this audio lesson

0:00
--:--
Teacher
Teacher Instructor

Let's rearrange our equation: 'Y(ω) = F(ω)/(-ω² - 3iω + 2)'. What insight does this give us?

Student 1
Student 1

It shows how the frequency response of our input f(t) determines the output Y(ω).

Teacher
Teacher Instructor

That's correct! The behavior of y is entirely defined in terms of the function F(ω), which represents our initial disturbance. Finally, what do we do to find y(t)?

Student 2
Student 2

We take the inverse Fourier Transform.

Teacher
Teacher Instructor

Precisely! This completes our solution process for the differential equation using the Fourier Transform.

Applications in Engineering

🔒 Unlock Audio Lesson

Sign up and enroll to listen to this audio lesson

0:00
--:--
Teacher
Teacher Instructor

We have now learned how to solve a differential equation using Fourier Transform. Why is this important for engineering applications?

Student 3
Student 3

It simplifies the analysis of dynamic systems, like vibrations and heat conduction.

Teacher
Teacher Instructor

Absolutely! Many engineering problems can be complex in the time domain but become more manageable when analyzed in the frequency domain. Let's think about how we might apply this knowledge practically.

Student 4
Student 4

For example, when designing structures, we need to understand how they respond to dynamic loads.

Teacher
Teacher Instructor

Exactly! This knowledge equips engineers to create safer and more efficient systems.

Introduction & Overview

Read summaries of the section's main ideas at different levels of detail.

Quick Overview

This section discusses how to solve second-order linear ordinary differential equations (ODEs) using the Fourier Transform, illustrating the transformation process and its significance in engineering applications.

Standard

In this section, we learn how the Fourier Transform can be applied to solve second-order linear ordinary differential equations (ODEs). By transforming the ODEs into the frequency domain, we simplify the process of finding solutions, especially in engineering fields. The methodology involves taking the Fourier Transform of both sides of the equation, allowing us to express the solution in terms of its Fourier Transform.

Detailed

Detailed Summary

In this section, we explore the application of the Fourier Transform to solve second-order linear ordinary differential equations (ODEs). These equations often appear in engineering problems related to vibrations, heat transfer, and signal processing.

Key Steps in Solving a Differential Equation with Fourier Transform:

  1. Start with the Second-Order Linear ODE
  2. We consider an equation of the form: $$\frac{d^2y}{dt^2} - 3\frac{dy}{dt} + 2y = f(t)$$
  3. Take the Fourier Transform of Both Sides
  4. Applying the Fourier Transform allows us to switch from the time domain to the frequency domain: $$F\left\{\frac{d^2y}{dt^2} \right\} - 3F\left\{\frac{dy}{dt} \right\} + 2F\{y\} = F\{f(t)\}$$
  5. Utilize Differentiation Properties of the Fourier Transform
  6. Using the property that relates differentiation in the time domain to multiplication by $i\omega$ in the frequency domain, we rewrite the equation as: $$(-\omega^2Y(\omega)) - 3(i\omega Y(\omega)) + 2Y(\omega) = F(\omega)$$
  7. Solve for $Y(\omega)$
  8. Rearranging gives: $$Y(\omega) = \frac{F(\omega)}{-\omega^2 - 3i\omega + 2}$$
  9. Inverse Transform
  10. Finally, we take the inverse Fourier Transform to find $y(t)$, completing the solution process.

This method is particularly useful in boundary value problems where finding Green’s functions can be complicated.

Youtube Videos

How to apply Fourier transforms to solve differential equations
How to apply Fourier transforms to solve differential equations
Solving differential equations with the Fourier transform
Solving differential equations with the Fourier transform
Lecture 48: Solution of Partial Differential Equations using Fourier Transform - I
Lecture 48: Solution of Partial Differential Equations using Fourier Transform - I
Solution of Partial Differential Equations using Fourier Transform - II
Solution of Partial Differential Equations using Fourier Transform - II
Lecture 49: Solution of Partial Differential Equations using Fourier Transform - II
Lecture 49: Solution of Partial Differential Equations using Fourier Transform - II
Lecture-14: Solve Differential Equations Using Fourier Transforms, Laplace Transform and Z-Transform
Lecture-14: Solve Differential Equations Using Fourier Transforms, Laplace Transform and Z-Transform
Fourier Transform in Quantum Mechanics | Properties & PYQs | CSIR NET Physics 2025
Fourier Transform in Quantum Mechanics | Properties & PYQs | CSIR NET Physics 2025
Solving the Heat Equation with the Fourier Transform
Solving the Heat Equation with the Fourier Transform
|| What is fourier transformation || visualing short math clips || tranformation ||
|| What is fourier transformation || visualing short math clips || tranformation ||
Solve differential equation with Fourier Transform
Solve differential equation with Fourier Transform

Audio Book

Dive deep into the subject with an immersive audiobook experience.

Introduction to the Differential Equation

Chapter 1 of 4

🔒 Unlock Audio Chapter

Sign up and enroll to access the full audio experience

0:00
--:--

Chapter Content

Let us consider a second-order linear ODE:

d²y
dy
−3 +2y =f(t)
dt²
dt

Detailed Explanation

This chunk introduces a second-order linear ordinary differential equation (ODE) that we will solve using Fourier transforms. The equation involves second derivatives (d²y/dt²) and first derivatives (dy/dt) of the function y, with an arbitrary function f(t) acting as the input or forcing function to the system. The ODE represents a common form encountered in various applications, including physics and engineering.

Examples & Analogies

Think of this equation as describing the motion of a spring-mass system where the spring experiences an external force f(t). The terms involving derivatives represent how the system's position changes over time, akin to a car's acceleration and velocity changes when it brakes.

Applying Fourier Transform

Chapter 2 of 4

🔒 Unlock Audio Chapter

Sign up and enroll to access the full audio experience

0:00
--:--

Chapter Content

Taking the Fourier Transform of both sides:
(cid:26) d²y(cid:27) (cid:26) dy(cid:27)
F −3F +2F{y}=F{f(t)}
dt²
dt

Detailed Explanation

This step applies the Fourier Transform to the entire differential equation. The Fourier Transform converts the time domain expressions (the derivatives with respect to time) into frequency domain representations by replacing derivatives with algebraic terms. The left side of the equation now features transformed variables (like F{y} for y) with derivatives represented in terms of frequency ω. This manipulation simplifies the equation into an algebraic form, making it easier to solve.

Examples & Analogies

Imagine transforming your favorite recipe from a long, detailed set of instructions (time domain) into a concise list of ingredients and steps (frequency domain). Just as it's easier to manipulate a shopping list than a full cooking guide, it becomes simpler to solve mathematical problems in this new form.

Rearranging Terms

Chapter 3 of 4

🔒 Unlock Audio Chapter

Sign up and enroll to access the full audio experience

0:00
--:--

Chapter Content

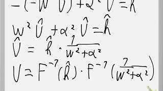
⇒(−ω²Y(ω))−3(iωY(ω))+2Y(ω)=F(ω)
Y(ω)(−ω²−3iω+2)=F(ω)⇒Y(ω)=
F(ω)
−ω²−3iω+2

Detailed Explanation

After applying the Fourier Transform, we rearrange the terms to isolate Y(ω), which represents the Fourier transform of the function y(t). The equation reveals how Y(ω) is expressed in relation to F(ω), the Fourier Transform of the input function. This enables us to express the solution to the differential equation in the frequency domain, simplifying analysis of its behavior.

Examples & Analogies

Consider a puzzle that needs rearranging. Just like you would group pieces by color or edge shape to solve it more easily, rearranging the equation facilitates isolating the solution variables, making it easier to work towards finding the final solution.

Inverse Transform for Solution

Chapter 4 of 4

🔒 Unlock Audio Chapter

Sign up and enroll to access the full audio experience

0:00
--:--

Chapter Content

Take the inverse transform of Y(ω) to get y(t).
This approach is crucial for solving boundary value problems, especially where Green’s functions are hard to construct.

Detailed Explanation

The final step involves taking the inverse Fourier Transform of Y(ω) to revert from the frequency domain back to the time domain, providing the solution for y(t). This capability to convert between domains is essential in solving boundary value problems and is particularly valuable in engineering fields where traditional methods may be complex or unwieldy.

Examples & Analogies

Imagine receiving a package containing a complex structure in pieces; using the transform is like having assembly instructions that allow you to understand how to put it all together. The inverse transform provides you with clear directions to reconstruct your original output, just as following instructions helps you build the intended model from scattered parts.

Key Concepts

  • Fourier Transform: A technique used to convert a function of time into a function of frequency.

  • Linear ODE: An ordinary differential equation in which the unknown function and its derivatives appear linearly.

  • Frequency Domain: A perspective for analyzing functions using frequency instead of time.

  • Inverse Transform: The operation that converts transformed data back to its original form.

Examples & Applications

Solving the differential equation d²y/dt² - 3dy/dt + 2y = f(t) using Fourier Transform.

The application of Fourier analysis in designing control systems.

Using the Fourier Transform to analyze mechanical vibrations in engineering.

Memory Aids

Interactive tools to help you remember key concepts

🎵

Rhymes

In transforms where functions play, derivatives will fade away.

📖

Stories

Imagine a busy city where cars (representing functions) change their paths when entering a tunnel (the Fourier Transform) that leads them into a serene park (the frequency domain). Inside the park, it's easier to manage traffic (solving the equation).

🧠

Memory Tools

TSY - Transform, Solve, Yield. Remember these steps to find Y(ω)!

🎯

Acronyms

ODE - Ordinary Differential Equations

their analysis can lead to Direct answers in the frequency domain.

Flash Cards

Glossary

Ordinary Differential Equation (ODE)

A differential equation containing one or more functions of one independent variable and its derivatives.

Fourier Transform

A mathematical transform that expresses a function in terms of its frequency components.

Frequency Domain

A representation of a signal or function in terms of frequency, rather than time.

Inverse Fourier Transform

A process that transforms frequency domain data back to the time domain.

Reference links

Supplementary resources to enhance your learning experience.