Dual Spaces - 26.16 | 26. Vector Spaces | Mathematics (Civil Engineering -1)
Students

Academic Programs

AI-powered learning for grades 8-12, aligned with major curricula

Professional

Professional Courses

Industry-relevant training in Business, Technology, and Design

Games

Interactive Games

Fun games to boost memory, math, typing, and English skills

Dual Spaces

26.16 - Dual Spaces

Enroll to start learning

You’ve not yet enrolled in this course. Please enroll for free to listen to audio lessons, classroom podcasts and take practice test.

Practice

Interactive Audio Lesson

Listen to a student-teacher conversation explaining the topic in a relatable way.

Definition of Dual Spaces

🔒 Unlock Audio Lesson

Sign up and enroll to listen to this audio lesson

0:00
--:--
Teacher
Teacher Instructor

Today, we're talking about dual spaces. The dual space V* of a vector space V consists of all linear functionals from V to the field 𝔽. Can someone tell me what a linear functional does?

Student 1
Student 1

Isn't it a map that takes vectors and gives us back a number in the field?

Teacher
Teacher Instructor

Exactly! A linear functional f has this property: for any vectors u and v in V, and scalars a and b in 𝔽, if we scale and add, we can distribute the functional: f(a·u + b·v) = a·f(u) + b·f(v). This shows how linear it is.

Student 2
Student 2

So every linear functional preserves the operations of addition and scalar multiplication?

Teacher
Teacher Instructor

That's right! This linearity is key. Let's remember this property with the acronym P.O.A. — Preserves Operations in Addition!

Applications of Dual Spaces

🔒 Unlock Audio Lesson

Sign up and enroll to listen to this audio lesson

0:00
--:--
Teacher
Teacher Instructor

Now that we understand dual spaces, let's discuss their significance in engineering. Who can think of an application where dual spaces are relevant?

Student 3
Student 3

What about in variational principles like virtual work in mechanics?

Teacher
Teacher Instructor

Great example! In virtual work principles, we use dual spaces to represent energy states. Also, do you remember how we talked about stress and strain?

Student 4
Student 4

Yes, they are represented through energies, right?

Teacher
Teacher Instructor

Correct! Stress-strain energy considerations often invoke dual spaces to relate vectors with energies. It's fascinating how these abstract concepts have very concrete uses!

Properties and Structures of Dual Spaces

🔒 Unlock Audio Lesson

Sign up and enroll to listen to this audio lesson

0:00
--:--
Teacher
Teacher Instructor

Let's dive deeper into the structures of dual spaces. Can anyone summarize why dual spaces are considered significant?

Student 1
Student 1

They help connect linear functionals with the vector space and have practical uses.

Teacher
Teacher Instructor

Exactly! Furthermore, studying the relationship between a vector space and its dual space enhances our understanding of the dimensions involved. Do you recall how many dimensions a dual space has?

Student 2
Student 2

Isn't it the same as the original vector space?

Teacher
Teacher Instructor

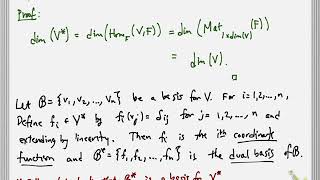
Absolutely! The dimension of V* is equal to the dimension of V. To remember this, think of it as D for Dual, and also D for Dimension being equal!

Introduction & Overview

Read summaries of the section's main ideas at different levels of detail.

Quick Overview

The dual space of a vector space consists of all linear functionals that map vectors to a field.

Standard

This section explores the concept of dual spaces, defining what a dual space is and its relevance, particularly in engineering applications, where linear functionals are essential in variational principles and energy representations.

Detailed

Dual Spaces

The dual space, denoted as V, of a vector space V is the set of all linear functionals that can be defined from V to the field 𝔽. A linear functional is a function f: V → 𝔽, which satisfies the following property: for all vectors u, v in V and all scalars a, b in 𝔽, it holds that f(a·u + b·v) = a·f(u) + b·f(v)*. This linearity is crucial as it maintains the structure of vector spaces in functional form.

Dual spaces are significant in various fields, particularly in engineering applications where variational principles are applicable, such as the concept of virtual work in mechanics. They also play a role in stress-strain energy representations, highlighting their importance in both the theoretical and practical aspects of civil engineering. Through understanding dual spaces, students can appreciate how linear mappings interact and represent changes in engineering contexts.

Youtube Videos

Dual vector spaces
Dual vector spaces
Lecture - 5.4 Dual Spaces
Lecture - 5.4 Dual Spaces
The Dual Space
The Dual Space
Dual Space
Dual Space
Mod-01 Lec-18 Dual Spaces with Examples
Mod-01 Lec-18 Dual Spaces with Examples
Dual Bases and Dual Maps
Dual Bases and Dual Maps
Dual Spaces (Part 1, Herstein)
Dual Spaces (Part 1, Herstein)
Mod-06 Lec-21 Linear Functionals. The Dual Space. Dual Basis I
Mod-06 Lec-21 Linear Functionals. The Dual Space. Dual Basis I
Duality in Linear Algebra: Dual Spaces, Dual Maps, and All That
Duality in Linear Algebra: Dual Spaces, Dual Maps, and All That
Dual spaces
Dual spaces

Audio Book

Dive deep into the subject with an immersive audiobook experience.

Understanding Dual Spaces

Chapter 1 of 3

🔒 Unlock Audio Chapter

Sign up and enroll to access the full audio experience

0:00
--:--

Chapter Content

The dual space V* of a vector space V is the set of all linear functionals from V to 𝔽.

Detailed Explanation

A dual space is constructed from a given vector space, V. The dual space, denoted as V*, consists of all linear functionals, which are special types of functions that take a vector from V and return a scalar from the field 𝔽. Linear functionals are linear mappings, meaning they adhere to the properties of superposition: they preserve addition and scalar multiplication. Specifically, if 'f' is a linear functional, it satisfies the property that f(a·u + b·v) = a·f(u) + b·f(v) for any vectors u, v in V and scalars a, b in 𝔽.

Examples & Analogies

Think of the dual space like a translator who converts vectors into understandable values (scalars). Just like a translator takes sentences (the vectors) and interprets them into meaningful information (the scalars), linear functionals interpret vectors from the vector space into real numbers.

Properties of Linear Functionals

Chapter 2 of 3

🔒 Unlock Audio Chapter

Sign up and enroll to access the full audio experience

0:00
--:--

Chapter Content

A linear functional is a map f: V → 𝔽 such that: f(a·u + b·v) = a·f(u) + b·f(v)

Detailed Explanation

The defining property of linear functionals indicates that they respect the addition and scalar multiplication of vectors. This means that if you scale a vector or add two vectors, the functional will react in a predictable way according to these operations. The efficiency of linear functionals is significant in various applications, as they allow for simplifications and computations in fields like mechanics and engineering.

Examples & Analogies

Imagine you have a machine that measures weights (the linear functional), and you are placing different weights (the vectors) on the scale. If you add two weights together, the machine will give you the combined weight – this mimics how a linear functional processes vectors through addition and scalar multiplication.

Importance of Dual Spaces in Engineering

Chapter 3 of 3

🔒 Unlock Audio Chapter

Sign up and enroll to access the full audio experience

0:00
--:--

Chapter Content

Significance in Engineering: • Appears in variational principles, e.g., virtual work in mechanics • Used in stress-strain energy representation

Detailed Explanation

Dual spaces play a critical role in engineering, particularly in mechanics and materials science. Variational principles, which are foundational to deriving equations governing physical systems, often utilize concepts from dual spaces. For instance, in the context of virtual work, dual spaces allow engineers to relate the work done by forces to displacements in a systematic way, facilitating problem-solving in structures and materials under various loads.

Examples & Analogies

Consider a situation where an engineer is designing a bridge. They use virtual work principles to calculate how forces affect the bridge's structure as it bends under load. By utilizing dual spaces, they can predict how much energy is absorbed by the materials during this bending, ensuring safety and reliability.

Key Concepts

  • Dual Space: The space of all linear functionals from V to 𝔽.

  • Linear Functional: A mapping that preserves vector addition and scalar multiplication.

  • Variational Principles: Principles that utilize dual spaces in engineering applications.

Examples & Applications

In structural engineering, dual spaces are used in the analysis of energy states through linear functionals representing stresses.

Mathematical optimization problems often employ dual spaces to derive conditions for minima or maxima based on linear functionals.

Memory Aids

Interactive tools to help you remember key concepts

🎵

Rhymes

A dual space is quite the ace, where functionals meet their place.

📖

Stories

Imagine a magician who can turn every vector into a number, summoning the magic of linear functionals.

🧠

Memory Tools

D.F.L. - Dual Spaces Foster Linearity.

🎯

Acronyms

D = Dimension of the dual space is equal to the dimension of the vector space.

Flash Cards

Glossary

Dual Space

The dual space V* consists of all linear functionals from a vector space V to the field 𝔽.

Linear Functional

A map f: V → 𝔽 that satisfies the property f(a·u + b·v) = a·f(u) + b·f(v).

Variational Principles

A principle in mechanics that states that the actual path or configuration of a system is such that it minimizes or extremizes some quantity.

Field

A set equipped with two operations (addition and multiplication) that satisfy the properties of commutativity, associativity, distributivity, and have identity elements.

Reference links

Supplementary resources to enhance your learning experience.