Quotient Spaces (26.15) - Vector Spaces - Mathematics (Civil Engineering -1)
Students

Academic Programs

AI-powered learning for grades 8-12, aligned with major curricula

Professional

Professional Courses

Industry-relevant training in Business, Technology, and Design

Games

Interactive Games

Fun games to boost memory, math, typing, and English skills

Quotient Spaces

Quotient Spaces

Enroll to start learning

You’ve not yet enrolled in this course. Please enroll for free to listen to audio lessons, classroom podcasts and take practice test.

Practice

Interactive Audio Lesson

Listen to a student-teacher conversation explaining the topic in a relatable way.

Introduction to Quotient Spaces

🔒 Unlock Audio Lesson

Sign up and enroll to listen to this audio lesson

0:00
--:--
Teacher
Teacher Instructor

Today, we'll explore quotient spaces. A quotient space is formed when we start with a vector space V and a subspace W. Can anyone tell me what a subspace is?

Student 1
Student 1

Isn't a subspace a smaller vector space within a bigger one?

Teacher
Teacher Instructor

Exactly! Now, when we create cosets like v + W, what do you think that means?

Student 2
Student 2

It means we are taking a vector v and adding all the vectors in W to it.

Teacher
Teacher Instructor

Correct! This forms a set of vectors, and that's what we call a coset. So the quotient space V/W is the collection of all these cosets.

Student 3
Student 3

Why are we studying this?

Teacher
Teacher Instructor

Great question! Quotient spaces help simplify complex vector spaces, which is crucial in fields like theoretical mechanics and optimization.

Teacher
Teacher Instructor

In summary, a quotient space allows us to take a vector and consider all the vectors that differ from it by any vector in W. Understanding this concept is vital for progressing into more complex applications.

Applications of Quotient Spaces

🔒 Unlock Audio Lesson

Sign up and enroll to listen to this audio lesson

0:00
--:--
Teacher
Teacher Instructor

Next, let’s talk about how quotient spaces are applied in engineering. Can anyone think of a scenario where this concept might be useful?

Student 4
Student 4

Maybe in structural analysis where we simplify forces?

Teacher
Teacher Instructor

Yes! By 'modding out' a subspace, you can simplify the analysis of forces acting on a structure. This allows engineers to focus on the essential behaviors without being overwhelmed by extraneous details.

Student 1
Student 1

So, it's like only measuring the relevant forces affecting a beam without considering redundant constraints?

Teacher
Teacher Instructor

Exactly! You are catching on quickly. And to reinforce, quotient spaces can also help in areas like optimization by reducing problem dimensions.

Teacher
Teacher Instructor

For instance, in optimization problems, using quotient spaces can lead to simplified constraints, making it easier to find optimal solutions.

Teacher
Teacher Instructor

To summarize, quotient spaces are a powerful tool that help us simplify and manage complexity, which is indispensable in many engineering disciplines.

Understanding Cosets

🔒 Unlock Audio Lesson

Sign up and enroll to listen to this audio lesson

0:00
--:--
Teacher
Teacher Instructor

Let’s take closer look at cosets. Does anyone remember the definition of a coset?

Student 3
Student 3

It's the set of all vectors you can form by adding W to a vector v, right?

Teacher
Teacher Instructor

Exactly right! Each coset is like a 'shift' of the subspace W. Can you visualize this?

Student 2
Student 2

Kind of like translating a shape in geometry? Each coset is a different copy of the subspace moved to different locations.

Teacher
Teacher Instructor

Precisely! This geometric interpretation helps us understand how these structures fit together in V.

Student 4
Student 4

So we're making different versions of the same subspace across V?

Teacher
Teacher Instructor

That's right! Each coset captures a unique aspect of the vector space by showing how different vectors relate to the subspace. Remember, understanding cosets gives you insight into the broader structure of V.

Teacher
Teacher Instructor

In summary, viewing cosets as copies of a subspace aids in comprehending their roles within the entire vector space.

Introduction & Overview

Read summaries of the section's main ideas at different levels of detail.

Quick Overview

Quotient spaces simplify complex vector spaces by partitioning them into cosets based on a subspace.

Standard

The section discusses quotient spaces created by partitioning a vector space V into cosets formed by a subspace W. This concept is significant in theoretical mechanics and optimization, facilitating the study of vector spaces by reducing complexity.

Detailed

Quotient Spaces

In linear algebra, a quotient space, denoted as V/W, is the set of all cosets formed by pairing elements of a vector space V with a subspace W. The coset of an element v in V, represented by v + W, consists of all vectors that can be expressed in the form of v plus an element from the subspace W. This method of partitioning helps in understanding the structure of vector spaces more deeply by creating equivalence classes of vectors. Quotient spaces are particularly useful in applications such as theoretical mechanics and optimization because they simplify problems by reducing dimensionality, allowing engineers and mathematicians to focus on essential properties without excessive complexity. Understanding quotient spaces is crucial as it expands the toolkit available for analyzing vector spaces in various contexts, especially in advanced engineering applications.

Youtube Videos

Topology Lecture 14: Quotient Spaces I
Topology Lecture 14: Quotient Spaces I
Creating new spaces | Quotient constructions | Math-Adda: Episode 6
Creating new spaces | Quotient constructions | Math-Adda: Episode 6
Lecture - 5.3 Quotient Spaces
Lecture - 5.3 Quotient Spaces
Quotients of Vector Spaces
Quotients of Vector Spaces
Hausdorff Example 2: Quotient Space
Hausdorff Example 2: Quotient Space
#79 Abacus Division – Setting Quotient
#79 Abacus Division – Setting Quotient
M-33. Quotient Space
M-33. Quotient Space
MTH 427/527:  Chapter 19: Quotient spaces (part 3/3)
MTH 427/527: Chapter 19: Quotient spaces (part 3/3)
Intuitive Topology 9: Quotient Topology and Quotient Space
Intuitive Topology 9: Quotient Topology and Quotient Space
MTH 427/527:  Chapter 19: Quotient spaces (part 1/3)
MTH 427/527: Chapter 19: Quotient spaces (part 1/3)

Audio Book

Dive deep into the subject with an immersive audiobook experience.

Understanding Quotient Spaces

Chapter 1 of 2

🔒 Unlock Audio Chapter

Sign up and enroll to access the full audio experience

0:00
--:--

Chapter Content

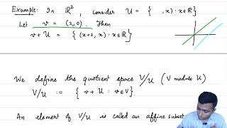
Let W be a subspace of V. The quotient space V/W is the set of all cosets: v + W = {v + w | w ∈ W}

Detailed Explanation

A quotient space is created by taking a vector space V and a subspace W and forming a new space that consists of cosets. A coset of W is a set of vectors formed by adding a specific vector v to every vector in W. This means that for each vector v in the vector space V, you can generate a set of new vectors by adding v to each of the vectors in the subspace W. The result is a collection of vectors that are treated as a single entity within the context of the quotient space V/W.

Examples & Analogies

Consider a group of people in a room representing the vector space V. If we think of a particular subgroup (like a family) as the subspace W, the quotient space V/W represents distinct groups of people who are not part of that family. Each group (coset) consists of all individuals who can be reached by adding themselves to each family member. Each group is like a set of coordinates drawn from the same starting point, creating a new perspective based on that family dynamic.

Simplification through Quotient Spaces

Chapter 2 of 2

🔒 Unlock Audio Chapter

Sign up and enroll to access the full audio experience

0:00
--:--

Chapter Content

This concept helps simplify complex vector spaces by 'modding out' a subspace, making it useful in theoretical mechanics and optimization.

Detailed Explanation

In mathematics and engineering, quotient spaces can be powerful tools for simplifying complex problems. By 'modding out' (or factoring out) a subspace, you reduce the overall complexity of the vector space V, focusing only on the structures that are not influenced by the elements of W. This simplification can reveal insights into the geometry of the situation, provide clarity in analysis, and make computations significantly easier, especially in fields like theoretical mechanics and optimization where understanding the core vector relationships is crucial.

Examples & Analogies

Imagine you are analyzing a complex traffic system where the paths of several routes are similar due to road closures (the subspace W). Instead of assessing all routes in their entirety, you could focus on the essential stretches of the road that are unaffected by the closures, creating a new map that simplifies the navigation process. This new map, or quotient space, allows you to observe the necessary alternatives without duplicating considerations of blocked routes, making your traffic analysis more efficient.

Key Concepts

  • Quotient Space: The set of cosets formed by a vector space V over a subspace W.

  • Coset: The collection of a vector combined with every vector in a subspace.

  • Subspace: A smaller vector space within a larger vector space that adheres to vector space properties.

  • Dimensionality Reduction: The process facilitated by quotient spaces to simplify complex spaces.

Examples & Applications

If V is R² and W is the x-axis, each coset in V/W represents a line parallel to the x-axis. V/W captures the vertical dimensions of the space.

In control theory, if a system's state can be partitioned into states differing by a constant offset, then each offset is represented as a coset in a quotient space derived from the original state space.

Memory Aids

Interactive tools to help you remember key concepts

🎵

Rhymes

In spaces we partition, with a plan, / Cosets are formed, that's our span!

📖

Stories

Imagine a workshop where each worker represents a vector, and their tools represent elements in W. As they gather their tools, they can form different 'groups' or cosets, allowing us to visualize their collective capabilities.

🧠

Memory Tools

Think COSS (Cosets = Original + Subspace Shift) to remember how cosets are formed.

🎯

Acronyms

QUOT (Quotient = Unique group of ordered tools) helps recall that the quotient space is grouping vectors based on a subspace.

Flash Cards

Glossary

Quotient Space

A vector space V divided by a subspace W, represented as V/W, consisting of cosets formed by adding elements from W to vectors from V.

Coset

A set that includes a vector v along with all vectors from a subspace W, expressed as v + W.

Subspace

A subset of a vector space that is also a vector space under the same operations.

Vector Space

A mathematical structure consisting of vectors, where vector addition and scalar multiplication are defined.

Reference links

Supplementary resources to enhance your learning experience.