Overdetermined Systems - 25.15.1 | 25. Solutions of Linear Systems: Existence, Uniqueness, General Form | Mathematics (Civil Engineering -1)
Students

Academic Programs

AI-powered learning for grades 8-12, aligned with major curricula

Professional

Professional Courses

Industry-relevant training in Business, Technology, and Design

Games

Interactive Games

Fun games to boost memory, math, typing, and English skills

Overdetermined Systems

25.15.1 - Overdetermined Systems

Enroll to start learning

You’ve not yet enrolled in this course. Please enroll for free to listen to audio lessons, classroom podcasts and take practice test.

Practice

Interactive Audio Lesson

Listen to a student-teacher conversation explaining the topic in a relatable way.

Introduction to Overdetermined Systems

🔒 Unlock Audio Lesson

Sign up and enroll to listen to this audio lesson

0:00
--:--
Teacher
Teacher Instructor

Today, we are going to discuss overdetermined systems. Can anyone tell me what we mean by 'overdetermined'?

Student 1
Student 1

Is it when there are more equations than unknowns?

Teacher
Teacher Instructor

Exactly! When we have more equations than variables, this usually means we might not be able to find an exact solution. What do you think we would want to do in such cases?

Student 2
Student 2

Maybe we try to minimize the differences somehow?

Teacher
Teacher Instructor

Yes! We aim to minimize the error in a least squares sense. This means we want to find a solution that gets us as close as possible to satisfying all our equations. Can anyone think of a practical example where this might be important?

Student 3
Student 3

Curve fitting?

Teacher
Teacher Instructor

Correct! Curve fitting is a perfect application. Let's summarize what we've learned: Overdetermined systems have more equations than unknowns and we use least squares methods to find an approximate solution.

Mathematical Representation of Overdetermined Systems

🔒 Unlock Audio Lesson

Sign up and enroll to listen to this audio lesson

0:00
--:--
Teacher
Teacher Instructor

Now, let's look at the mathematical representation. We minimize the expression by finding a solution vector x that minimizes the difference between Ax and b. Can anyone recall how we express this mathematically?

Student 4
Student 4

It's something like min ||Ax - b||²?

Teacher
Teacher Instructor

That's right! And from this, we derive the normal equations. What do those equations look like?

Student 1
Student 1

I think it’s A^TAx = A^Tb?

Teacher
Teacher Instructor

Perfect! This set of equations gives us the best approximation of x for our system. Remember, this is essential in applications like sensor network calibrations. To sum up, overdetermined systems lead us to use the least squares method and derive normal equations for solutions.

Applications of Overdetermined Systems

🔒 Unlock Audio Lesson

Sign up and enroll to listen to this audio lesson

0:00
--:--
Teacher
Teacher Instructor

Let's explore some real-world applications of overdetermined systems. Where can we see least squares approximations being employed?

Student 3
Student 3

In civil surveying!

Teacher
Teacher Instructor

Exactly! It helps in determining the best estimate for land measurements. Any other examples?

Student 2
Student 2

What about curve fitting for experimental data?

Teacher
Teacher Instructor

Correct again! It's also used in sensor network calibration. When we have inaccurate data points, we can still find a useful estimate for the underlying function. So remember, overdetermined systems guide us in precise modeling across various fields.

Introduction & Overview

Read summaries of the section's main ideas at different levels of detail.

Quick Overview

Overdetermined systems have more equations than unknowns, often leading to inconsistencies, and are typically solved using least squares approximation.

Standard

In overdetermined systems, represented by more equations than unknowns (m > n), solutions may not exist. Instead, a least squares approach aims to minimize the error between the estimated and actual solutions. The resulting solution is calculated using the normal equations from the pseudo-inverse method, particularly useful in practical applications like civil surveying and curve fitting.

Detailed

Overdetermined Systems

Overdetermined systems occur when there are more equations than unknowns, represented mathematically as m > n, where 'm' is the number of equations and 'n' is the number of unknowns. These systems may often be inconsistent, meaning there may not be an exact solution that satisfies all equations simultaneously. The objective in such cases is usually to find a solution that minimizes the error in a least squares sense.

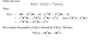
To achieve this, we focus on minimizing the distance (or norm) between the actual output vector b and the predicted output vector Ax. This minimization leads to the formulation:

$$\text{min} ||Ax - b||_2^2$$

Consequently, the solution is derived from the normal equations formulated as follows:

$$A^TAx = A^Tb$$

This form helps in finding the best approximation to the solution, especially in scenarios like civil surveying, where accurate positional data is essential. Additionally, this method is fundamental in curve fitting processes and sensor network calibrations, making it crucial in engineering and applied mathematics.

Youtube Videos

Overdetermined systems: more equations than variables
Overdetermined systems: more equations than variables
Ch06n3:  Overdetermined Systems and QR factorization.
Ch06n3: Overdetermined Systems and QR factorization.
Overdetermined System of Equations | Ch. 2, Linear Regression
Overdetermined System of Equations | Ch. 2, Linear Regression
Gaussian Elimination   Overdetermined and Underdetermined Systems
Gaussian Elimination Overdetermined and Underdetermined Systems
L5B:  Overdetermined Problem
L5B: Overdetermined Problem
Linear Algebra Video #48: Overdetermined Systems  & Least Squares
Linear Algebra Video #48: Overdetermined Systems & Least Squares
over- or under-determined systems GRAPHS_CH2P1
over- or under-determined systems GRAPHS_CH2P1
NYC - 1.2 - Overdetermined System #2
NYC - 1.2 - Overdetermined System #2
Overdetermined Systems
Overdetermined Systems
Application of Underdetermined and Overdetermined Systems
Application of Underdetermined and Overdetermined Systems

Audio Book

Dive deep into the subject with an immersive audiobook experience.

Definition of Overdetermined Systems

Chapter 1 of 3

🔒 Unlock Audio Chapter

Sign up and enroll to access the full audio experience

0:00
--:--

Chapter Content

When m > n, the system may be inconsistent. In such cases, we seek a solution that minimizes the error in a least squares sense: min∥Ax−b∥².

Detailed Explanation

An overdetermined system occurs when there are more equations (m) than unknowns (n). This situation often leads to inconsistencies, meaning that the equations may not all be satisfied at the same time. To address this, we find a solution that minimizes the difference between the left side (Ax) and the right side (b) in a least squares manner. The expression min∥Ax−b∥² defines this minimization, where ∥Ax−b∥ represents the Euclidean norm of the vector difference between Ax and b.

Examples & Analogies

Imagine you are trying to fit a straight line to a set of points on a graph (like in a linear regression). If you have more points than the dimensions of the line (which is 2D, with a slope and an intercept), you may find that no single line can pass through all points simultaneously. Instead, the best approach is to find a line that minimizes the total distance from all the points, which is what least squares fitting achieves.

Mathematical Formulation

Chapter 2 of 3

🔒 Unlock Audio Chapter

Sign up and enroll to access the full audio experience

0:00
--:--

Chapter Content

The solution is given by: AT Ax=ATb.

Detailed Explanation

To find the least squares solution to an overdetermined system represented by Ax = b, we reformulate the problem in terms of matrix operations. The equation AT Ax = ATb arises from setting the derivative of the error term with respect to x to zero. Here, AT is the transpose of matrix A, and the left side (AT A)x represents transforming the problem into a system that can accurately approximate the solution for x. This adjustment enables us to solve for the best fit in a consistent manner.

Examples & Analogies

Think of this as trying to find the optimal angle to shoot a basketball to make the most successful baskets. You have several attempts (each being an equation), but varying factors such as your position and the wind (more complex than a simple shot) affect the outcome. By creating a 'best fit' model, similar to the equation AT Ax = ATb, you can find the angle that minimizes your missed shots, leading to a more effective shooting strategy.

Applications of Overdetermined Systems

Chapter 3 of 3

🔒 Unlock Audio Chapter

Sign up and enroll to access the full audio experience

0:00
--:--

Chapter Content

Used in:
- Civil surveying.
- Curve fitting in construction data.
- Sensor network calibration.

Detailed Explanation

Overdetermined systems are pivotal in various fields, particularly when multiple measurements or equations are available to solve for a limited number of unknowns. In civil surveying, for example, multiple data points from different locations are used to determine the best fit for land contours or structure placements. Similarly, in curve fitting, data collected from experiments can lead to the optimal mathematical model representing the underlying phenomena. Sensor networks often generate data that needs to be calibrated accurately, ensuring the readings are correct despite potential inconsistencies in the measurements.

Examples & Analogies

Consider the process of strain gauge measurements on a bridge. Different sensors spread across the structure collect data on how the bridge behaves under weight. These readings can be inconsistent due to noise or inaccuracies. By utilizing an overdetermined system approach, engineers apply least squares to find a single model that best represents all sensor data, ensuring the accuracy of their assessments regarding the bridge's structural integrity.

Key Concepts

  • Overdetermined System: A system with more equations than unknowns, often leading to inconsistencies.

  • Least Squares Approximation: A technique used to minimize the error in overdetermined systems.

  • Normal Equations: Generated from least squares methods to find the best fit solution.

  • Pseudo-Inverse: A mathematical tool to solve certain systems that are not invertible.

Examples & Applications

In civil engineering, least squares methods are employed in surveying to obtain accurate land measurements.

Curve fitting in statistical analysis often utilizes overdetermined systems to approximate relationships.

Memory Aids

Interactive tools to help you remember key concepts

🎵

Rhymes

Equations abound, more than the unknown, seeking the closest answer to what is shown.

📖

Stories

Imagine a detective with too many clues for one case, trying to fit them all together but often requiring the best guess instead of a complete solution.

🧠

Memory Tools

Remember 'Least Squares' = Leaning towards accuracy over exactness.

🎯

Acronyms

A.F.I.N.E. - Approximate Fit In Overdetermined Equations.

Flash Cards

Glossary

Overdetermined System

A system of equations with more equations than unknowns, often leading to no exact solution.

Least Squares Approximation

A method to find the best fit solution by minimizing the sum of the squares of the differences between observed and calculated values.

Normal Equations

Equations derived from least squares approximation, typically expressed as A^TAx = A^Tb.

PseudoInverse

A generalization of the inverse matrix used in solving systems that are not square or not invertible.

Reference links

Supplementary resources to enhance your learning experience.