Relationships Between Vorticity And Angular Velocity (9.7.2) - Fluid Kinematics
Students

Academic Programs

AI-powered learning for grades 8-12, aligned with major curricula

Professional

Professional Courses

Industry-relevant training in Business, Technology, and Design

Games

Interactive Games

Fun games to boost memory, math, typing, and English skills

Relationships Between Vorticity and Angular Velocity

Relationships Between Vorticity and Angular Velocity

Enroll to start learning

You’ve not yet enrolled in this course. Please enroll for free to listen to audio lessons, classroom podcasts and take practice test.

Practice

Interactive Audio Lesson

Listen to a student-teacher conversation explaining the topic in a relatable way.

Introduction to Vorticity

🔒 Unlock Audio Lesson

Sign up and enroll to listen to this audio lesson

0:00
--:--
Teacher
Teacher Instructor

Today, let's start with the concept of vorticity. Can anyone tell me what vorticity represents in fluid mechanics?

Student 1
Student 1

Isn't it related to how much the fluid is rotating?

Teacher
Teacher Instructor

Exactly! Vorticity measures the local rotation of a fluid particle. It is defined as the curl of the velocity vector field. Now, can anybody explain what we mean by the curl of a vector field?

Student 2
Student 2

I think it is a measure of the rotation of the field itself, right?

Teacher
Teacher Instructor

Correct! It helps us understand how fluid moves in patterns that are not just translational but also rotational. Remember, we can think of vorticity as a measure of 'twist' in the fluid. To help you remember, you might use the acronym 'VORT' for Vorticity Indicates Rotation and Twist.

Student 3
Student 3

Can we relate this to something familiar, like how tornadoes or cyclones form?

Teacher
Teacher Instructor

Absolutely! Cyclones are perfect examples where high vorticity leads to significant rotational motion. Understanding vorticity is key to forecasting such extreme weather.

Teacher
Teacher Instructor

To summarize, vorticity measures the local rotation of fluid elements, determined by the curl of the velocity field, and is crucial in analyzing fluid flow behaviors.

Angular Velocity

🔒 Unlock Audio Lesson

Sign up and enroll to listen to this audio lesson

0:00
--:--
Teacher
Teacher Instructor

Now that we understand vorticity, let’s shift our focus to angular velocity. Who can define what angular velocity is?

Student 4
Student 4

It measures how fast something rotates, right? Like how quickly a wheel spins.

Teacher
Teacher Instructor

Exactly! Angular velocity describes the rate of change of angular position of a rotating body. How do we think angular velocity relates to vorticity?

Student 1
Student 1

Since vorticity measures the rotation of fluid elements, they must be closely related!

Teacher
Teacher Instructor

Great insight! Vorticity can be thought of as twice the angular velocity for a fluid particle. Why do you think that factor of two exists?

Student 2
Student 2

Maybe because vorticity is a vector that accounts for the effects of rotation in different directions?

Teacher
Teacher Instructor

Correct! Now let’s use the mnemonic ‘AV: Angular Velocity = Vorticity / 2’ to help us remember this relationship. To conclude this session, recall that angular velocity refers to how fast a fluid rotates, and vorticity quantifies that rotation as a vector quantity.

Fluid Motion and Deformation

🔒 Unlock Audio Lesson

Sign up and enroll to listen to this audio lesson

0:00
--:--
Teacher
Teacher Instructor

Next, let's discuss how fluid motion, vorticity, and angular velocity influence each other. How does the velocity of a fluid affect its vorticity?

Student 3
Student 3

I guess higher velocities would create more vorticity due to increased rotational motion?

Teacher
Teacher Instructor

Exactly! Higher fluid velocities result in greater changes in rotation, leading to increased vorticity. Can anyone explain how this all ties into fluid deformation?

Student 4
Student 4

Deformation happens when fluid particles experience different velocities? Like stretching in different directions?

Teacher
Teacher Instructor

Precisely! As fluid flows, regions may experience varying speeds leading to shear and normal stresses. Using the mnemonic 'SPEED: Shear, Pressure, Elastic Deformation' can help you remember the key effects of fluid motion on deformation.

Teacher
Teacher Instructor

To summarize, fluid motion affects vorticity and angular velocity, which in turn influence how fluids deform under sheer and compressive actions.

Introduction & Overview

Read summaries of the section's main ideas at different levels of detail.

Quick Overview

This section covers the relationship between vorticity and angular velocity in fluid mechanics, explaining how these concepts relate to fluid motion and deformation.

Standard

This section delves into the definitions and relationships between vorticity, which measures rotation in a fluid, and angular velocity, explaining how these concepts interrelate and their significance in understanding fluid dynamics, particularly in real-world phenomena such as cyclones.

Detailed

Detailed Summary

In fluid mechanics, understanding the relationship between vorticity and angular velocity is crucial for analyzing fluid motion and behavior. Vorticity is a vector quantity that represents the tendency of a fluid to rotate, while angular velocity describes the rate of rotation of a fluid element. The section outlines how vorticity can be derived as the curl of the velocity field, and it highlights how the magnitude of vorticity correlates with the angular velocity of fluid particles. Furthermore, it discusses the dynamics involving translations, rotations, and deformations of fluid elements, making connections between these concepts and their roles in real-life applications such as cyclone formation in weather systems. The interplay between vorticity and angular velocity is essential for understanding complex flow patterns in both natural and engineered systems.

Youtube Videos

Why vorticity is twice of angular velocity Fluid Mechanics GATE 2023
Why vorticity is twice of angular velocity Fluid Mechanics GATE 2023
What you need to know about Vorticity [Fluid Mechanics]
What you need to know about Vorticity [Fluid Mechanics]
Rotation & Vorticity - Fluid Mechanics | ME/Civil Engineering | SSC JE 2023/RRB JE 2023/DDA JE 2023
Rotation & Vorticity - Fluid Mechanics | ME/Civil Engineering | SSC JE 2023/RRB JE 2023/DDA JE 2023
Angular Velocity / Vorticity / Strain
Angular Velocity / Vorticity / Strain
Introductory Fluid Mechanics L13 p8 - Vorticity and Circulation
Introductory Fluid Mechanics L13 p8 - Vorticity and Circulation
Vorticity Explained Conceptually [Aero Fundamentals #67]
Vorticity Explained Conceptually [Aero Fundamentals #67]
#5‖Physical understanding of Angular velocity and Vorticity
#5‖Physical understanding of Angular velocity and Vorticity
Fluid Mechanics Lesson: Specific Gravity, Pressure in the Fluids & Pascal's Principle
Fluid Mechanics Lesson: Specific Gravity, Pressure in the Fluids & Pascal's Principle
Lecture 08: Basics of fluid mechanics- II (Contd.)
Lecture 08: Basics of fluid mechanics- II (Contd.)
vorticity and angular velocity
vorticity and angular velocity

Audio Book

Dive deep into the subject with an immersive audiobook experience.

Understanding Angular Velocity

Chapter 1 of 3

🔒 Unlock Audio Chapter

Sign up and enroll to access the full audio experience

0:00
--:--

Chapter Content

Angular velocity (77) is defined in relation to a fluid element and how it rotates about a fixed point. It considers the velocity changes at certain points in a fluid element as it moves.

Detailed Explanation

Angular velocity measures how quickly and in what direction something rotates around a point. In fluid mechanics, this concept is applied to a small fluid element, where different points can have varying velocities. For example, if a fluid element is subjected to a velocity change, its rotation can be quantified as angular velocity. It's represented mathematically as the difference in linear velocities at various points, showing how their rotational movement correlates to angular velocity.

Examples & Analogies

Imagine holding a spinning basketball on your finger. As it rotates, different points on the ball move at different speeds relative to your finger. The speed at which the ball rotates around your finger is its angular velocity. Similarly, in a fluid, different layers can move at different speeds, and their rotation can be captured through the concept of angular velocity.

Link Between Vorticity and Angular Velocity

Chapter 2 of 3

🔒 Unlock Audio Chapter

Sign up and enroll to access the full audio experience

0:00
--:--

Chapter Content

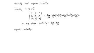
Vorticity is a vector that indicates the local spinning motion of a fluid particle. It is mathematically defined as the curl of the velocity field and is related to angular velocity by a factor of 2.

Detailed Explanation

Vorticity is a measure of the rotation of fluid elements, specifically how 'twisted' or 'spun' the fluid is. It is defined mathematically as the curl of the velocity vector, which gives a vector field representing the local rate of rotation around a point. The relationship is given by vorticity being essentially twice the angular velocity, meaning that the more a fluid particle is spinning (higher vorticity), the greater its angular velocity. Thus, you can think of vorticity as a tool to measure the amount of spinning motion in a fluid.

Examples & Analogies

Consider the way water swirls in a drain. The faster the water spins as it moves down, the higher the vorticity. The ease with which it swirls can help visualize angular velocity – the more it spirals, the greater the angular velocity representing how fast it's rotating around the drain's center.

Mathematical Formulation of Relationships

Chapter 3 of 3

🔒 Unlock Audio Chapter

Sign up and enroll to access the full audio experience

0:00
--:--

Chapter Content

Mathematically, the relationship between vorticity (ω) and angular velocity (Ω) can be expressed as ω = 2Ω. It reflects the direct proportionality between the two quantities, defined by the rotational motion of the fluid.

Detailed Explanation

The mathematical formulation shows that vorticity is quantitatively linked to the angular velocity of fluid elements. The simpler interpretation is that for every unit of angular velocity, there’s a corresponding increase in vorticity, which shows how these two concepts intertwine in fluid dynamics. The clarity of this relationship emphasizes the fundamental aspects of rotation in a fluid, allowing better analysis of fluid behavior in motion.

Examples & Analogies

Think of two children on a merry-go-round: the faster they spin (angular velocity), the stronger the sensation of being pulled outward (similar to how vorticity works). If one child spins faster, they feel more rotational force, mirroring how an increase in angular velocity leads to higher vorticity.

Key Concepts

  • Vorticity: Represents the rotation of fluid particles.

  • Angular Velocity: Describes the rate of rotation of fluid elements.

  • Curl: Mathematical measure of rotation in a vector field.

  • Fluid Deformation: The influence of velocity variations resulting in shape changes.

Examples & Applications

A tornado's rotational behavior can be described using the concepts of vorticity to understand the high-speed rotating winds and their effects.

In fluid channels of different diameters, the changes in flow rate can create varying velocities in the fluid, leading to observable vorticity and fluid deformation.

Memory Aids

Interactive tools to help you remember key concepts

🎵

Rhymes

Vorticity spins, angular it blends, through fluid's twists, the force never ends!

📖

Stories

Imagine a water balloon being twisted; as you rotate it, the water inside swirls around, representing how vorticity reflects the internal movement of the fluid.

🧠

Memory Tools

VORT - Vorticity Operates Rotationally and Twists.

🎯

Acronyms

AV

Angular Velocity connects with Vorticity

half the way!

Flash Cards

Glossary

Vorticity

A vector quantity that represents the rotation of a fluid particle, defined as the curl of the velocity field.

Angular Velocity

The rate of rotation of a fluid element, which indicates how fast the position changes in angular terms.

Curl

A mathematical operation that describes the tendency of a quantity to rotate about a point.

Fluid Deformation

Changes in shape or size of fluid elements due to applied stresses, leading to shear or compressive behavior.

Velocity Field

A vector field that describes the velocity of fluid particles at different points in a flow.

Reference links

Supplementary resources to enhance your learning experience.