Strain Rate Tensor In Cartesian Coordinates (9.6.4) - Fluid Kinematics
Students

Academic Programs

AI-powered learning for grades 8-12, aligned with major curricula

Professional

Professional Courses

Industry-relevant training in Business, Technology, and Design

Games

Interactive Games

Fun games to boost memory, math, typing, and English skills

Strain Rate Tensor in Cartesian Coordinates

Strain Rate Tensor in Cartesian Coordinates

Enroll to start learning

You’ve not yet enrolled in this course. Please enroll for free to listen to audio lessons, classroom podcasts and take practice test.

Practice

Interactive Audio Lesson

Listen to a student-teacher conversation explaining the topic in a relatable way.

What is the Strain Rate Tensor?

🔒 Unlock Audio Lesson

Sign up and enroll to listen to this audio lesson

0:00
--:--
Teacher
Teacher Instructor

Let's talk about the strain rate tensor in Cartesian coordinates. This tensor is crucial as it helps us understand how fluid elements deform when subjected to different forces. Can anyone tell me what the strain rate tensor represents?

Student 1
Student 1

Is it how fast a fluid deforms?

Teacher
Teacher Instructor

Exactly! It measures the rate of deformation of a fluid element. Now, what are the two main types of strains we focus on?

Student 2
Student 2

Linear strain and shear strain?

Teacher
Teacher Instructor

Very good! Linear strain measures length changes, while shear strain looks at angle changes. Can someone remember a simple way to distinguish between the two?

Student 3
Student 3

Linear is about 'length' and shear about 'angle'!

Teacher
Teacher Instructor

Perfect! Let’s delve deeper into how these strains are quantified.

Understanding Linear Strain Rate

🔒 Unlock Audio Lesson

Sign up and enroll to listen to this audio lesson

0:00
--:--
Teacher
Teacher Instructor

Linear strain rate is defined as the rate of increase of length per unit length. Why do you think this is important in understanding fluid flow?

Student 4
Student 4

Because fluids can stretch and change shape!

Teacher
Teacher Instructor

Exactly, Student_4! When fluid particles move, their positions change because of velocity differences. Can anyone explain what happens in an incompressible flow?

Student 1
Student 1

The volume remains constant, so the density doesn’t change!

Teacher
Teacher Instructor

Right! Now, how do we compute linear strain rates in Cartesian coordinates?

Student 2
Student 2

By looking at velocity components in x, y, and z?

Teacher
Teacher Instructor

Correct! We form a mathematical representation based on these gradients.

Examining Shear Strain Rate

🔒 Unlock Audio Lesson

Sign up and enroll to listen to this audio lesson

0:00
--:--
Teacher
Teacher Instructor

Now let's focus on shear strain rate. Does anyone recall how we define it?

Student 3
Student 3

It's the change in angle between two lines in the fluid!

Teacher
Teacher Instructor

Correct! Shear strain rate quantifies deformation due to shear stress. Who can give an example of when we see shear strain in fluids?

Student 4
Student 4

When water flows through a pipe, especially when the pipe size changes!

Teacher
Teacher Instructor

Exactly! The angle changes as the fluid moves. Now, how would we express shear strain rates mathematically?

Student 1
Student 1

By taking half of the rate of decrease in angle between two initially perpendicular lines?

Teacher
Teacher Instructor

You got it! It's essential for calculating stress in fluid mechanics.

Mathematical Formulation of the Strain Rate Tensor

🔒 Unlock Audio Lesson

Sign up and enroll to listen to this audio lesson

0:00
--:--
Teacher
Teacher Instructor

Let’s consolidate our learning today by looking at the strain rate tensor's mathematical formulation. What do we represent it as in matrix form?

Student 2
Student 2

It's a 3x3 matrix that includes the components of strain!

Teacher
Teacher Instructor

Exactly! Each entry represents linear and shear strain rates. How do velocity gradients play into this?

Student 3
Student 3

They influence how we calculate changes in the strain rates!

Teacher
Teacher Instructor

Great! Remember, stress is proportional to our strain rate tensor. How would you summarize our discussion today?

Student 4
Student 4

We learned that strain rate tensors help us understand fluid deformation through mathematical representations!

Teacher
Teacher Instructor

Exactly! Well done, everyone!

Introduction & Overview

Read summaries of the section's main ideas at different levels of detail.

Quick Overview

This section discusses the strain rate tensor in Cartesian coordinates, detailing its components and relevance in fluid mechanics, particularly in analyzing fluid motion and deformation.

Standard

The section provides an in-depth exploration of the strain rate tensor, including its definition, mathematical formulation, and implications for fluid motion. It highlights the relationship between strain rates and fluid deformation, elaborating on important concepts such as linear and shear strain rates in Cartesian coordinates.

Detailed

Strain Rate Tensor in Cartesian Coordinates

Introduction

In fluid mechanics, understanding the strain rate tensor is essential for analyzing how fluid elements deform under various forces. This section delves into the strain rate tensor defined in Cartesian coordinates, highlighting its components, definitions, and equations of motion.

Strain Rate Tensor Overview

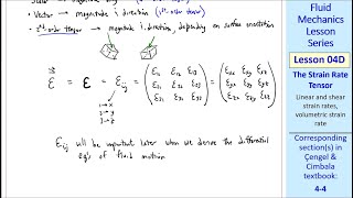
The strain rate tensor is a measure of the rate of deformation of a fluid element. It expresses how a fluid element changes shape as it flows. In Cartesian coordinates, the strain rate tensor is represented mathematically to incorporate its various components. The tensor accounts for both linear (normal) strains and shear strains.

Components of the Strain Rate Tensor

  • Linear Strain Rate: Defined as the rate of increase in length per unit length, affecting how a fluid expands or contracts.
  • Shear Strain Rate: Refers to the change in angle between two lines within a fluid element, caused by shear stress.

Mathematical Framework

The strain rate tensor can be formulated as:
$$
egin{bmatrix}
rac{ rac{ ext{d}u}{ ext{d}x} + rac{ ext{d}u}{ ext{d}x}}{2} & rac{ rac{ ext{d}u}{ ext{d}y} + rac{ ext{d}v}{ ext{d}x}}{2} & rac{ rac{ ext{d}u}{ ext{d}z} + rac{ ext{d}w}{ ext{d}x}}{2} \
rac{ rac{ ext{d}v}{ ext{d}x} + rac{ ext{d}u}{ ext{d}y}}{2} & rac{ rac{ ext{d}v}{ ext{d}y} + rac{ ext{d}v}{ ext{d}y}}{2} & rac{ rac{ ext{d}v}{ ext{d}z} + rac{ ext{d}w}{ ext{d}y}}{2} \
rac{ rac{ ext{d}w}{ ext{d}x} + rac{ ext{d}u}{ ext{d}z}}{2} & rac{ rac{ ext{d}w}{ ext{d}y} + rac{ ext{d}v}{ ext{d}z}}{2} & rac{ rac{ ext{d}w}{ ext{d}z} + rac{ ext{d}w}{ ext{d}z}}{2}
ext{ }
ext{ }
ext{ }
ext{ }
ext{ }
ext{ }
egin{bmatrix} ext{Linear Strain Rate}\ ext{Shear Strain Rate}
ext{ }
ext{ }
ext{ }
ext{ }
ext{ }
ext{ }
ext{ }
ext{ }
ext{ }
ext{ }
}

ight]
$$
This matrix outlines the relationship between the components of velocity changes, providing insight into how the fluid is deformed in different directions.

Conclusion

The strain rate tensor is a pivotal concept for engineers and scientists working with fluid dynamics. Understanding its implications in fluid behavior during motion is crucial for both theoretical analysis and practical applications in civil engineering and beyond.

Youtube Videos

Fluid Mechanics: Topic 10.5 - Kinematics of fluid elements (shear strain, rotation, and vorticity)
Fluid Mechanics: Topic 10.5 - Kinematics of fluid elements (shear strain, rotation, and vorticity)
Fluid Force on a Surface, Part I  (via stress tensor)
Fluid Force on a Surface, Part I (via stress tensor)
Fluid Mechanics Lesson 04D: The Strain Rate Tensor
Fluid Mechanics Lesson 04D: The Strain Rate Tensor
Introduction To Stress Tensor Fluid Mechanics
Introduction To Stress Tensor Fluid Mechanics
2.  Basics of Fluid Mechanics
2. Basics of Fluid Mechanics
TMFM: The Stress Tensor for Newtonian Fluids
TMFM: The Stress Tensor for Newtonian Fluids
13-1 Strain Rate Tensor Part 2
13-1 Strain Rate Tensor Part 2
13-2 Strain Rate Tensor Part 3
13-2 Strain Rate Tensor Part 3
Strain Rate Tensor 2 - Shear Strain Rates
Strain Rate Tensor 2 - Shear Strain Rates
Strain rate Tensor & Vorticity | Fluid Kinematics 2.0 | GATE-2022/2023 | By AIR-1 #NegiSir
Strain rate Tensor & Vorticity | Fluid Kinematics 2.0 | GATE-2022/2023 | By AIR-1 #NegiSir

Audio Book

Dive deep into the subject with an immersive audiobook experience.

Introduction to the Strain Rate Tensor

Chapter 1 of 4

🔒 Unlock Audio Chapter

Sign up and enroll to access the full audio experience

0:00
--:--

Chapter Content

The strain rate tensor is crucial in understanding how a fluid deforms under various conditions. It represents the rate at which deformation occurs within a fluid element over time.

Detailed Explanation

The strain rate tensor is a mathematical construct that helps describe how a fluid changes shape and volume as it flows. It captures both linear and angular deformations. For fluids, this means understanding how the particles within a fluid element are stretching, compressing, or rotating due to forces acting upon them. In practical terms, whenever you disturb a fluid (like when you stir a cup of coffee), you create strain in the fluid. The tensor quantifies this change and is crucial for predicting the flow behavior of fluids.

Examples & Analogies

Imagine a balloon. When you squeeze it, the shape changes and deformations occur. If you had a way to measure how quickly and in what manner the balloon is deforming as you apply different squeezing pressures, that measurement would be similar to what the strain rate tensor does for fluids.

Components of the Strain Rate Tensor

Chapter 2 of 4

🔒 Unlock Audio Chapter

Sign up and enroll to access the full audio experience

0:00
--:--

Chapter Content

The strain rate tensor combines various components that describe the deformation of fluid elements in different directions. It includes terms related to linear strain and rate of rotation.

Detailed Explanation

Each component of the strain rate tensor corresponds to a specific way the fluid can deform. The diagonal components represent linear strains—how much a fluid element stretches or compresses along the coordinate axes. The off-diagonal components describe shear strains—how much the fluid element is deformed due to changes in angle between axes. This tensor thus encapsulates the complete state of deformation of a fluid element at any point in space.

Examples & Analogies

Consider how a piece of clay behaves when you push on it from different sides. Pushing it along one axis stretches it (linear strain), while pushing in different directions shear the material, changing angles between its faces. The strain rate tensor would mathematically describe these changes of shapes based on the directions and intensities of your pushes.

Mathematical Representation of the Strain Rate Tensor

Chapter 3 of 4

🔒 Unlock Audio Chapter

Sign up and enroll to access the full audio experience

0:00
--:--

Chapter Content

The mathematical formulation of the strain rate tensor in Cartesian coordinates encompasses partial derivatives of velocity components. This structure helps translate physical phenomena into a mathematical framework.

Detailed Explanation

The strain rate tensor in Cartesian coordinates is defined using the velocity gradients of the fluid. Each component of this tensor is expressed as a function of the velocity's change in space, with respect to time. This makes it a powerful tool for engineers and scientists, as it allows for the quantitative analysis of fluid motion and the precise prediction of how fluids would behave under varying scenarios. It ties back neatly to conservation laws and material properties, influencing the models used in computational fluid dynamics (CFD).

Examples & Analogies

Think about the way ice cream melts. The rate at which it changes from solid to liquid can depend on how hot it is outside (temperature gradient). If you imagine every drop of melted ice cream having its own unique rate of change based on its surroundings, the strain rate tensor can be seen as a formula capturing how each parts' 'melting' changes the overall structure of the ice cream bowl, similar to how components of the strain tensor capture deformations in a fluid flow.

Applications of the Strain Rate Tensor

Chapter 4 of 4

🔒 Unlock Audio Chapter

Sign up and enroll to access the full audio experience

0:00
--:--

Chapter Content

Understanding the strain rate tensor is vital in many fields, including civil and mechanical engineering, where fluid dynamics play a key role in design and analysis.

Detailed Explanation

The strain rate tensor has practical applications in analyzing how structures like bridges will behave under loads, how materials will flow in mixing processes, and even in predicting weather patterns. It is essential in simulations that model fluid behavior, assisting engineers and scientists in designing safer and more efficient systems. By applying the knowledge from the strain rate tensor, industries can optimize processes such as oil drilling, chemical manufacturing, and even sports engineering.

Examples & Analogies

Imagine you're designing a new type of bicycle tire. Understanding how the tire flexes, compresses, and rotates under different conditions informs you on material choices and design features. The strain rate tensor provides a way to quantify these mechanical responses, leading to a tire that not only performs better but is also more durable.

Key Concepts

  • Strain Rate Tensor: A tensor representing fluid deformation rates.

  • Linear Strain Rate: Measures how fluid length changes.

  • Shear Strain Rate: Measures angular changes in fluid elements.

Examples & Applications

When a fluid flows through a narrowing pipe, it experiences shear strain due to velocity differences.

In a viscous fluid like honey, the deformation rates are expressed through the strain rate tensor.

Memory Aids

Interactive tools to help you remember key concepts

🎵

Rhymes

Fluid stretches long, with strain moving strong!

📖

Stories

Imagine a balloon filled with water. As you squeeze it, the shape changes and stretches – that's akin to how strain rates work in fluids!

🧠

Memory Tools

L for Length (linear strain), S for Shear (shear strain) – remember L&S!

🎯

Acronyms

S for Strain, R for Rate – S.R. helps us relate changes in shape!

Flash Cards

Glossary

Strain Rate Tensor

A tensor that describes the rate at which a fluid element deforms.

Linear Strain Rate

The rate of change of length per unit length in a fluid.

Shear Strain Rate

The rate of change in angle between two perpendicular lines in a fluid element.

Reference links

Supplementary resources to enhance your learning experience.