Algebraic Multiplicity (29.3.1) - Eigenvalues - Mathematics (Civil Engineering -1)
Students

Academic Programs

AI-powered learning for grades 8-12, aligned with major curricula

Professional

Professional Courses

Industry-relevant training in Business, Technology, and Design

Games

Interactive Games

Fun games to boost memory, math, typing, and English skills

Algebraic Multiplicity

Algebraic Multiplicity

Enroll to start learning

You’ve not yet enrolled in this course. Please enroll for free to listen to audio lessons, classroom podcasts and take practice test.

Practice

Interactive Audio Lesson

Listen to a student-teacher conversation explaining the topic in a relatable way.

Introduction to Algebraic Multiplicity

🔒 Unlock Audio Lesson

Sign up and enroll to listen to this audio lesson

0:00
--:--
Teacher
Teacher Instructor

Today, we're discussing algebraic multiplicity, which is crucial for understanding eigenvalues. Can anyone tell me what an eigenvalue is?

Student 1
Student 1

Isn't it a scalar that can transform a vector when multiplied by a matrix?

Teacher
Teacher Instructor

Exactly! An eigenvalue BB can stretch or compress a vector. Now, the algebraic multiplicity of an eigenvalue is how many times it appears in the characteristic polynomial. Can anyone recall what the characteristic polynomial is?

Student 2
Student 2

It's the determinant of (A - BBI) equals zero, right?

Teacher
Teacher Instructor

Correct! Therefore, if BB is a root of this polynomial multiple times, we say its algebraic multiplicity is higher. It's commonly denoted by 'm'.

Student 3
Student 3

So, if an eigenvalue has a higher algebraic multiplicity, what does it mean for the matrix?

Teacher
Teacher Instructor

Good question! A higher multiplicity can indicate repeated eigenvectors, which can affect matrix behavior significantly, especially in applications like stability analysis.

Student 4
Student 4

Are algebraic and geometric multiplicities related?

Teacher
Teacher Instructor

Yes, they are! The geometric multiplicity, the number of linearly independent eigenvectors, cannot exceed the algebraic multiplicity. So, remember: 1 ≤ Geometric Multiplicity ≤ Algebraic Multiplicity.

Teacher
Teacher Instructor

Let's summarize: Algebraic multiplicity counts eigenvalue roots, while geometric multiplicity counts independent eigenvectors. Understanding their relationship is critical!

Relationship Between Algebraic and Geometric Multiplicity

🔒 Unlock Audio Lesson

Sign up and enroll to listen to this audio lesson

0:00
--:--
Teacher
Teacher Instructor

Now, let's explore the relationship between algebraic and geometric multiplicity further. Why do you think it's important for engineers to understand both?

Student 1
Student 1

It probably helps us in understanding the behavior of structures under load.

Teacher
Teacher Instructor

Absolutely! Different multiplicities inform us about possible vibrational modes in structures. Can someone explain how we can confirm these multiplicities from a characteristic polynomial?

Student 2
Student 2

We can find the roots of the polynomial and count their occurrences for algebraic multiplicity.

Teacher
Teacher Instructor

Exactly. And for geometric multiplicity, we'd need to find the eigenvectors corresponding to those eigenvalues. What's an important inequality we should remember here?

Student 3
Student 3

Geometric multiplicity is always less than or equal to algebraic multiplicity!

Teacher
Teacher Instructor

Correct! This is vital in various applications, especially in vibration analysis of structures. Remember this as we move forward to apply these concepts!

Introduction & Overview

Read summaries of the section's main ideas at different levels of detail.

Quick Overview

Algebraic multiplicity is the number of times an eigenvalue appears as a root of the characteristic polynomial of a matrix.

Standard

In this section, we explore algebraic multiplicity, which refers to how many times an eigenvalue is repeated as a root of the characteristic polynomial, and compare it to geometric multiplicity, the dimension of the eigenspace associated with the eigenvalue. Understanding these concepts is crucial to grasping the behavior of linear transformations in applications such as structural analysis.

Detailed

Algebraic Multiplicity

The algebraic multiplicity of an eigenvalue BB is defined as the number of times it appears as a root in the characteristic polynomial of a matrix. This multiplicity provides insights into the nature of the eigenvalue, particularly in terms of the dimensionality of the corresponding eigenspace.

In contrast, geometric multiplicity refers to the number of linearly independent eigenvectors associated with that eigenvalue, or more formally, the dimension of the eigenspace associated with the eigenvalue BB.

It is important to note that the geometric multiplicity is always less than or equal to the algebraic multiplicity, encapsulated in the inequality:

1
3C= Geometric Multiplicity 3C= Algebraic Multiplicity.

This relationship provides critical insights into the properties of matrices in contexts such as differential equations and structural engineering, establishing a foundational understanding essential for applications involving eigenvalues.

Youtube Videos

Determine the algebraic and geometric multiplicity
Determine the algebraic and geometric multiplicity
Linear Algebra 55 | Algebraic Multiplicity
Linear Algebra 55 | Algebraic Multiplicity
ALGEBRAIC & GEOMETRIC multiplicity (AM & GM) |Eigen values and eigen vectors |Dr Maths
ALGEBRAIC & GEOMETRIC multiplicity (AM & GM) |Eigen values and eigen vectors |Dr Maths
Linear Algebra | Algebraic and Geometric Multiplicity | Lecture 05 | MATHEMATICS | PRADEEP GIRI SIR
Linear Algebra | Algebraic and Geometric Multiplicity | Lecture 05 | MATHEMATICS | PRADEEP GIRI SIR
Algebraic and Geometric Multiplicity of Eigenvalues | Linear Algebra
Algebraic and Geometric Multiplicity of Eigenvalues | Linear Algebra
Week 10 - Algebraic and Geometric Multiplicities of an Eigenvalue
Week 10 - Algebraic and Geometric Multiplicities of an Eigenvalue
Diagonalization of Matrix | Algebraic Multiplicity and Geometric Multiplicity | Matrices
Diagonalization of Matrix | Algebraic Multiplicity and Geometric Multiplicity | Matrices
Lecture - 8.3  Multiplicity of eigenvalues
Lecture - 8.3 Multiplicity of eigenvalues
algebraic and geometric multiplicity in linear algebra
algebraic and geometric multiplicity in linear algebra
Algebric Multiplicity and Geometric Multiplicity of an Eigen Value
Algebric Multiplicity and Geometric Multiplicity of an Eigen Value

Audio Book

Dive deep into the subject with an immersive audiobook experience.

Definition of Algebraic Multiplicity

Chapter 1 of 3

🔒 Unlock Audio Chapter

Sign up and enroll to access the full audio experience

0:00
--:--

Chapter Content

The algebraic multiplicity of an eigenvalue λ is the number of times λ appears as a root of the characteristic polynomial.

Detailed Explanation

Algebraic multiplicity refers to how many times a specific eigenvalue is repeated as a solution (or root) of the characteristic polynomial. When we compute eigenvalues of a matrix, we find the roots of the polynomial equation formed by its determinant. If an eigenvalue appears multiple times, each instance counts toward its algebraic multiplicity. For instance, if λ = 3 is a root that appears twice, its algebraic multiplicity is 2.

Examples & Analogies

Imagine you are counting the number of votes for candidates in an election. If candidate A receives 3 votes, this indicates that A's 'algebraic multiplicity' is 3. Each vote represents a time that candidate is chosen, similar to how each root of the characteristic polynomial counts as an appearance of the eigenvalue.

Geometric Multiplicity Introduction

Chapter 2 of 3

🔒 Unlock Audio Chapter

Sign up and enroll to access the full audio experience

0:00
--:--

Chapter Content

Geometric Multiplicity The geometric multiplicity is the dimension of the eigenspace corresponding to λ, i.e., the number of linearly independent eigenvectors associated with λ.

Detailed Explanation

Geometric multiplicity is defined as the number of independent eigenvectors associated with a given eigenvalue. This is important because it tells us about the richness of the solution space for a particular eigenvalue. If there is only one linearly independent eigenvector corresponding to an eigenvalue, its geometric multiplicity is 1. If there are two independent vectors, it is 2, and so on. Importantly, the geometric multiplicity cannot exceed the algebraic multiplicity.

Examples & Analogies

Think of geometric multiplicity like different ways to navigate through a path. If you were at a fork in the road, each distinct road you can take represents a different direction (eigenvector) that leads you to the same destination (eigenvalue). If you have only one road (one independent eigenvector), you have limited options, but if there are multiple roads, you have more choices on how to reach your destination.

Relationship Between Multiplicities

Chapter 3 of 3

🔒 Unlock Audio Chapter

Sign up and enroll to access the full audio experience

0:00
--:--

Chapter Content

Important: 1 ≤ Geometric Multiplicity ≤ Algebraic Multiplicity.

Detailed Explanation

This relationship clarifies how algebraic and geometric multiplicities interact. For every eigenvalue, its geometric multiplicity cannot exceed its algebraic multiplicity, meaning there can never be more independent eigenvectors than repeated occurrences of that eigenvalue. This condition is crucial for understanding the structure of the solutions to the matrix equation and helps in ensuring that a matrix can be properly diagonalized.

Examples & Analogies

Imagine a library. The algebraic multiplicity can be seen as the number of books on a shelf for a certain title, while the geometric multiplicity is like the number of distinct copies of that title in different languages or editions. You can have many copies of a book (algebraic multiplicity), but if there is only one language version available, you can only access that one version (geometric multiplicity). Thus, while you have many options (the books), your true variety in terms of usability (distinct editions) is limited.

Key Concepts

  • Algebraic Multiplicity: Defined as the frequency of the eigenvalue root in the characteristic polynomial.

  • Geometric Multiplicity: Defined as the dimension of the eigenspace tied to an eigenvalue.

  • Relationship: Always, Geometric Multiplicity ≤ Algebraic Multiplicity.

Examples & Applications

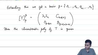
For a matrix A with characteristic polynomial (λ-2)²(λ-3) = 0, eigenvalue λ=2 has algebraic multiplicity 2 and geometric multiplicity 1.

If an eigenvalue appears once in the polynomial and has one corresponding eigenvector, its algebraic and geometric multiplicities are both 1.

Memory Aids

Interactive tools to help you remember key concepts

🎵

Rhymes

In roots of polynomials, they do find, Algebraic's counted, geometric's defined.

📖

Stories

Imagine a building; some floors are strong (higher algebraic multiplicity) but only a few exist (lower geometric multiplicity). This influences how it sways during the wind!

🧠

Memory Tools

Remember: 'A Great Friend' to link Algebraic (A) with Geometric (G) : Always G ≤ A.

🎯

Acronyms

A&G for Algebraic and Geometric relationships; think Always Better!

Flash Cards

Glossary

Algebraic Multiplicity

The number of times an eigenvalue appears as a root of the characteristic polynomial.

Geometric Multiplicity

The dimension of the eigenspace associated with an eigenvalue, representing the number of linearly independent eigenvectors.

Characteristic Polynomial

A polynomial obtained from the determinant of (A - BBI), used to find the eigenvalues of a matrix.

Reference links

Supplementary resources to enhance your learning experience.