Hydraulic Jump and Best Hydraulic Cross Sections - 16.2.2 | 16. Open Channel Flow III | Fluid Mechanics - Vol 3
Students

Academic Programs

AI-powered learning for grades 8-12, aligned with major curricula

Professional

Professional Courses

Industry-relevant training in Business, Technology, and Design

Games

Interactive Games

Fun games to boost memory, math, typing, and English skills

Hydraulic Jump and Best Hydraulic Cross Sections

16.2.2 - Hydraulic Jump and Best Hydraulic Cross Sections

Enroll to start learning

You’ve not yet enrolled in this course. Please enroll for free to listen to audio lessons, classroom podcasts and take practice test.

Practice

Interactive Audio Lesson

Listen to a student-teacher conversation explaining the topic in a relatable way.

Understanding Hydraulic Jumps

🔒 Unlock Audio Lesson

Sign up and enroll to listen to this audio lesson

0:00
--:--
Teacher
Teacher Instructor

Today, we're diving into hydraulic jumps. Can anyone tell me what you think happens during a hydraulic jump?

Student 1
Student 1

Is it when the water suddenly changes depth?

Teacher
Teacher Instructor

Exactly! A hydraulic jump occurs when the flow transitions from supercritical to subcritical, creating turbulence. Can someone explain the terms 'supercritical' and 'subcritical' flows?

Student 2
Student 2

Supercritical flow has a Froude number greater than one, and subcritical has a Froude number less than one.

Teacher
Teacher Instructor

Well done! Remember the mnemonic 'Super is swift but Sub is slow' to help you remember the properties of these flows. Why are hydraulic jumps significant?

Student 3
Student 3

They help with energy dissipation in channels, right?

Teacher
Teacher Instructor

Correct! They dissipate energy, which is crucial to maintain the integrity of structures like dams.

Teacher
Teacher Instructor

To summarize, hydraulic jumps occur when flow transitions from supercritical to subcritical, with critical implications for energy management.

Factors Influencing Hydraulic Jump

🔒 Unlock Audio Lesson

Sign up and enroll to listen to this audio lesson

0:00
--:--
Teacher
Teacher Instructor

Let's look deeper into hydraulic jumps. The energy losses during a hydraulic jump are important aspects we need to calculate. Can someone tell me how we estimate energy losses?

Student 1
Student 1

I think we use the specific energy at upstream and downstream positions?

Teacher
Teacher Instructor

Exactly! The energy loss 'hL' can be derived from the difference in specific energy. Remember that specific energy is the sum of depth and velocity terms. Can anyone provide the formula?

Student 4
Student 4

E = y + (v^2 / 2g)?

Teacher
Teacher Instructor

Awesome! Now, given upstream conditions, how do we find downstream conditions?

Student 2
Student 2

We can calculate flow depth and velocities using mass conservation equations!

Teacher
Teacher Instructor

Great work! So to wrap up, calculations of hydraulic jumps help us design systems that can appropriately manage energy and flow.

Best Hydraulic Cross Sections

🔒 Unlock Audio Lesson

Sign up and enroll to listen to this audio lesson

0:00
--:--
Teacher
Teacher Instructor

Now let's shift our focus to determining the best hydraulic cross sections. Why is choosing an appropriate cross-section shape important?

Student 3
Student 3

I assume it affects the flow efficiency and construction cost?

Teacher
Teacher Instructor

You're right. Selecting shapes like rectangular or trapezoidal can significantly minimize construction costs while maximizing flow efficiency. Who can summarize the criteria for an optimal cross-section?

Student 1
Student 1

The perimeter should be minimized for a fixed flow area and slope.

Teacher
Teacher Instructor

Exactly! Always remember that minimizing perimeter decreases construction costs! Can we calculate this? What is needed?

Student 4
Student 4

We need to understand relationships involving area to perimeter ratios and hydraulic radius.

Teacher
Teacher Instructor

Spot on! The hydraulic radius influences the flow velocity. To conclude our session, optimal hydraulic sections balance construction cost and efficiency, pivotal for successful engineering.

Introduction & Overview

Read summaries of the section's main ideas at different levels of detail.

Quick Overview

This section covers the concepts of hydraulic jumps along with the principles for determining the best hydraulic cross sections in open channel flow.

Standard

The discussion emphasizes the importance of understanding hydraulic jumps, which occur when fluid transitions from supercritical to subcritical flow, and explores the criteria for optimal hydraulic cross sections for efficiency and economic considerations in civil engineering structures, particularly in canals.

Detailed

In this section of fluid mechanics, we delve into hydraulic jumps and the critical aspects of designing canal structures focusing on open channel flow. Hydraulic jumps are significant phenomena that occur when fluid transitions from a supercritical flow (high velocity, lower depth) to a subcritical flow (lower velocity, higher depth). This transition creates turbulence and energy loss, which must be managed in engineering contexts, such as dam spillways. The discussion also emphasizes the importance of optimizing cross-sectional shapes (like rectangular, trapezoidal, and circular) to minimize construction costs while maximizing hydraulic efficiency, effectively leading to enhanced flow management and infrastructure sustainability. We explore dimensions and ratios that lead to the best hydraulic cross-sectional designs, including considerations of the hydraulic radius, flow depth, and resistance to flow.

Youtube Videos

14 Best Hydraulic Cross Section
14 Best Hydraulic Cross Section
Why does the water jump..??!! -- Hydraulic jump explained.!!
Why does the water jump..??!! -- Hydraulic jump explained.!!
Best Hydraulic Cross section,  Manning Formula
Best Hydraulic Cross section, Manning Formula
Gradually varied flow to begin with, then rapidly varied flow.
Gradually varied flow to begin with, then rapidly varied flow.
Fluid Mechanics Lesson: Specific Gravity, Pressure in the Fluids & Pascal's Principle
Fluid Mechanics Lesson: Specific Gravity, Pressure in the Fluids & Pascal's Principle
Rapidly Varied Flow
Rapidly Varied Flow
Hydraulic jump
Hydraulic jump
Hydraulic engineering/OCF/RVF/Hydraulic jump/Non uniform open channel flow/hydraulic site view.
Hydraulic engineering/OCF/RVF/Hydraulic jump/Non uniform open channel flow/hydraulic site view.
Hydraulic Jump - Flow through Open Channels - Applied Hydraulics
Hydraulic Jump - Flow through Open Channels - Applied Hydraulics
Open Channel Flow - 6 [Flow Area A, Wetted Perimeter P Hydraulic Radius R, and Hydraulic Depth D]
Open Channel Flow - 6 [Flow Area A, Wetted Perimeter P Hydraulic Radius R, and Hydraulic Depth D]

Audio Book

Dive deep into the subject with an immersive audiobook experience.

Overview of Open Channel Flow

Chapter 1 of 5

🔒 Unlock Audio Chapter

Sign up and enroll to access the full audio experience

0:00
--:--

Chapter Content

As we discuss about the specific energy and today we will solve a few problems as well as we will discuss about hydraulic jump and the best hydraulic cross sections what is required for designing canal structures.

Detailed Explanation

This section introduces the fundamental concepts of open channel flow, specifically focusing on the terms 'specific energy' and 'hydraulic jump.' Specific energy refers to the total energy available per unit weight of the fluid, and understanding this concept is crucial for analyzing fluid behavior in channels. The hydraulic jump, on the other hand, is a phenomenon where there is a sudden change in flow conditions, often resulting in energy loss.

Examples & Analogies

Imagine a mountain stream where the water flows smoothly and quickly along a gentle slope. As it approaches a steep drop or ledge, it changes dramatically: the water slows down, splashes, and creates turbulent waves at the bottom. This visual of the stream demonstrates both specific energy in smooth flow and hydraulic jump at the drop.

Understanding Specific Energy and Flow Depth

Chapter 2 of 5

🔒 Unlock Audio Chapter

Sign up and enroll to access the full audio experience

0:00
--:--

Chapter Content

The basic idea to know it, the flow depth variations in open channels, the velocity variations, how the velocity changes it, how much of energy losses occurs because of the flow governed by the gravity forces and the frictional forces.

Detailed Explanation

Specific energy varies with flow depth in an open channel. As the depth increases, the velocity of water changes due to gravitational and frictional effects. Understanding these relationships helps predict how water will behave in a channel, crucial for engineering and design purposes.

Examples & Analogies

Think of water flowing in a garden hose. When you pinch the end of the hose, the water pressure builds up, becoming forceful. When you release your grip, the water flows faster, similar to how increasing depth in a channel can increase flow velocity.

Hydraulic Jump Formation

Chapter 3 of 5

🔒 Unlock Audio Chapter

Sign up and enroll to access the full audio experience

0:00
--:--

Chapter Content

When the flow passes through the supercritical to subcritical with limited ranges then there are a lot of turbulent structures created, which is what we call hydraulic jump.

Detailed Explanation

A hydraulic jump occurs when water transitions from a supercritical state (high velocity, low depth) to a subcritical state (lower velocity, greater depth), leading to turbulence and energy dissipation. This change often happens when water flows over a weir or similar structure, resulting in visible turbulence.

Examples & Analogies

Imagine a slip-and-slide on a hot day. If the slide is steep and fast, you shoot off at great speed into the pool below, creating splashes and ripples—a hydraulic jump in action! The transition from high-speed sliding to the slower water in the pool mimics the hydraulic jump.

Energy Losses During Hydraulic Jump

Chapter 4 of 5

🔒 Unlock Audio Chapter

Sign up and enroll to access the full audio experience

0:00
--:--

Chapter Content

The noise and turbulence you can see because of hydraulic jump formations can also lead to energy losses. Energy losses happen when the flow goes from supercritical to subcritical.

Detailed Explanation

Energy losses during a hydraulic jump are significant. When the flow transitions from supercritical to subcritical, energy is dissipated typically through turbulence. This means that less energy is available for further flow, affecting downstream conditions, velocity, and overall management of water resources.

Examples & Analogies

Think of a car speeding down a highway and then suddenly hitting a traffic jam. The sudden slow-down causes energy loss as the car must use more power to start moving again, similar to how water loses energy when it transitions through a hydraulic jump.

Best Hydraulic Cross Sections

Chapter 5 of 5

🔒 Unlock Audio Chapter

Sign up and enroll to access the full audio experience

0:00
--:--

Chapter Content

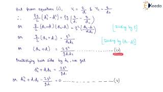
Best hydraulic sections is related to the economy. If you have a constant slope for your canal, you want the shape that minimizes construction costs while maximizing flow capacity.

Detailed Explanation

The design of hydraulic cross sections aims to balance construction costs with flow capacity. Various shapes (rectangular, trapezoidal) can be evaluated, but generally, shapes that maximize the hydraulic radius and minimize perimeter are preferred. This minimizes materials and labor while optimizing flow.

Examples & Analogies

Consider a garden that channels water efficiently. A rectangular flower bed uses more edging materials (higher perimeter) than a rounded one (lower perimeter) would for the same area, showing how design shape affects resource use.

Key Concepts

  • Hydraulic Jump: A transition from supercritical to subcritical flow resulting in turbulence and energy loss.

  • Supercritical Flow: Characterized by a flow velocity greater than the wave speed, indicating rapid flow.

  • Subcritical Flow: A slow flow where the wave speed exceeds flow velocity, conducive to energy transfer.

  • Froude Number: A critical parameter to identify flow regimes and states, helping in managing hydraulic structures.

  • Best Hydraulic Section: The optimal cross-sectional shape that minimizes construction costs while maximizing flow efficiency.

Examples & Applications

In a dam spillway, the water experiences a hydraulic jump as it falls from a height, converting kinetic energy into turbulence.

For a rectangular canal, it is calculated that the optimal channel width should be half the flow depth to minimize wetted perimeter.

Memory Aids

Interactive tools to help you remember key concepts

🎵

Rhymes

When jump comes, turbulence reigns, energy lost, flow gains strains.

📖

Stories

Imagine a river rushing quickly down a slope, it suddenly hits a flat area. Water leaps up forming a frothy mess; that's a hydraulic jump happening!

🧠

Memory Tools

In water flows, Super leads to speedy, but Sub is slow; Jumps cause a turbulent show!

🎯

Acronyms

SHR

Supercritical

Hydraulic Jump

and Resistance characterize flows.

Flash Cards

Glossary

Hydraulic Jump

A phenomenon where the flow transitions from supercritical to subcritical, resulting in energy loss and turbulence.

Supercritical Flow

A flow regime with a Froude number greater than 1 where the flow is fast and depth is shallow.

Subcritical Flow

A flow regime with a Froude number less than 1 where the flow is slow and depth is greater.

Froude Number

A dimensionless number comparing inertial and gravitational forces, essential in identifying flow conditions.

Specific Energy

The total mechanical energy of the fluid per unit weight, calculated as the sum of potential and kinetic energy.

Hydraulic Radius

The ratio of the cross-sectional area of the flow to the wetted perimeter, influencing flow velocity.

Reference links

Supplementary resources to enhance your learning experience.